Дам 60!!!!!!!!!!!!Через вершину A правильного треугольника ABC проведен перпендикуляр AK плоскости трикутника.Знайдить расстояние от точки K до вершины треугольника, если BC = 12√3 см, ∠KBA = 30 °
Ответы
Ответ дал:
0
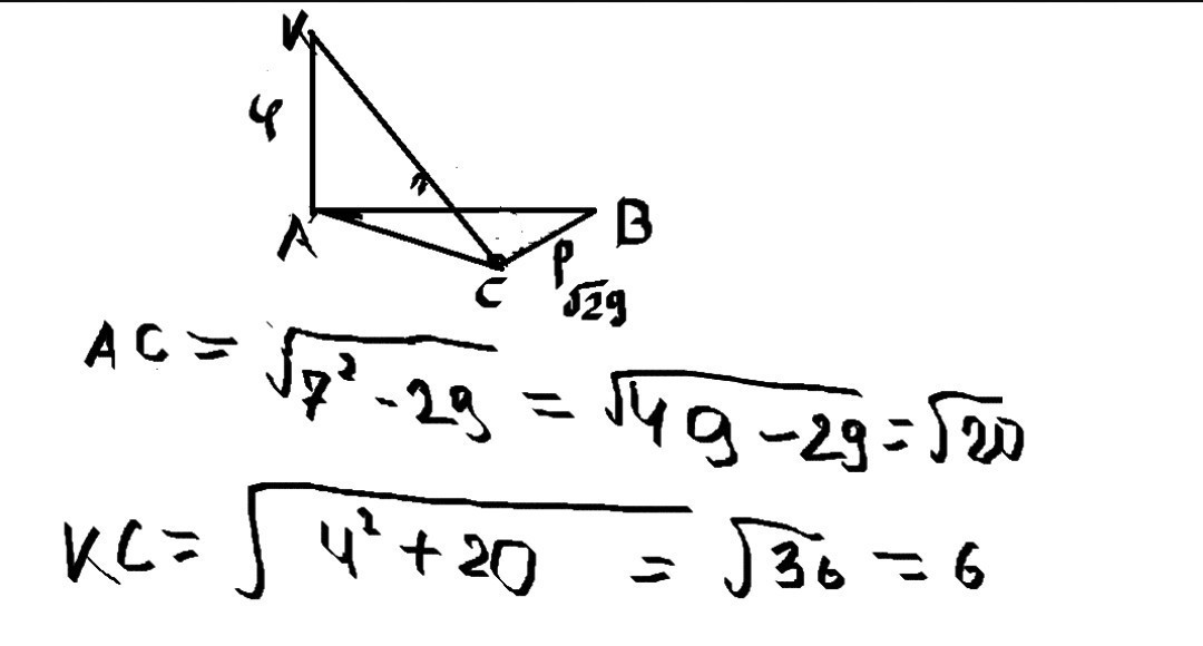
Заранее говорю, это взято из интернета, но решение правильное и решается через 2 теоремы пифагора
Приложения:
Вас заинтересует
2 года назад
2 года назад
3 года назад
3 года назад
9 лет назад
9 лет назад
10 лет назад