Помогите решить я в таком не шарю а надо очень срочно завтра контрольная работа по этой теме поэтому даю за это задание 46 баллов
Приложения:


Ответы
Ответ дал:
0
Ответ:
Пошаговое объяснение:
1) производная равна=4*4
2) =
3) =
4) =
5)
6) ==
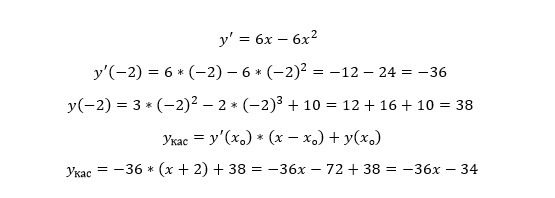
7) Найдем производную значение производной и функции в точке х=-2.
смотри на прикрепленном файле
Приложения:

Вас заинтересует
2 года назад
2 года назад
3 года назад
9 лет назад