• Предмет: Математика
  • Автор: Аноним
  • Вопрос задан 8 лет назад

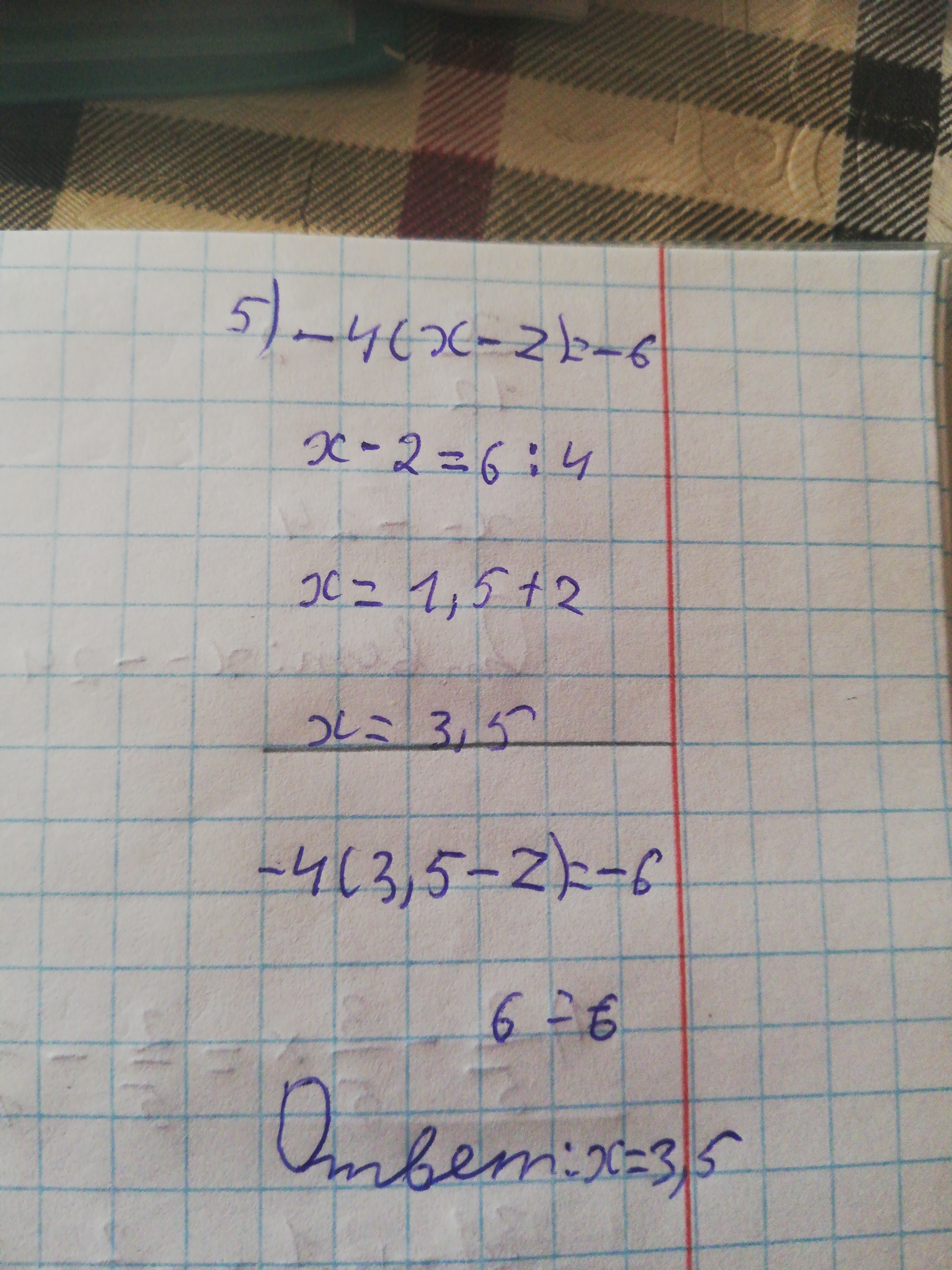
-4(x-2)=-6
уравнение решите плиз

Ответы

Ответ дал: irinapoleeva
0

Ответ:


Пошаговое объяснение:


Приложения:
Ответ дал: irinapoleeva
0
Там 2 в не z
Ответ дал: irinapoleeva
0
Там 2 а не z
Ответ дал: alomka333
0

Ответ:


Пошаговое объяснение:

-4(х-2)=-6

-4х+8=-6

-4х=-6-8

-4х=-14

Х=3,5


Приложения:
Вас заинтересует