• Предмет: Геометрия
  • Автор: p0tat0es
  • Вопрос задан 8 лет назад

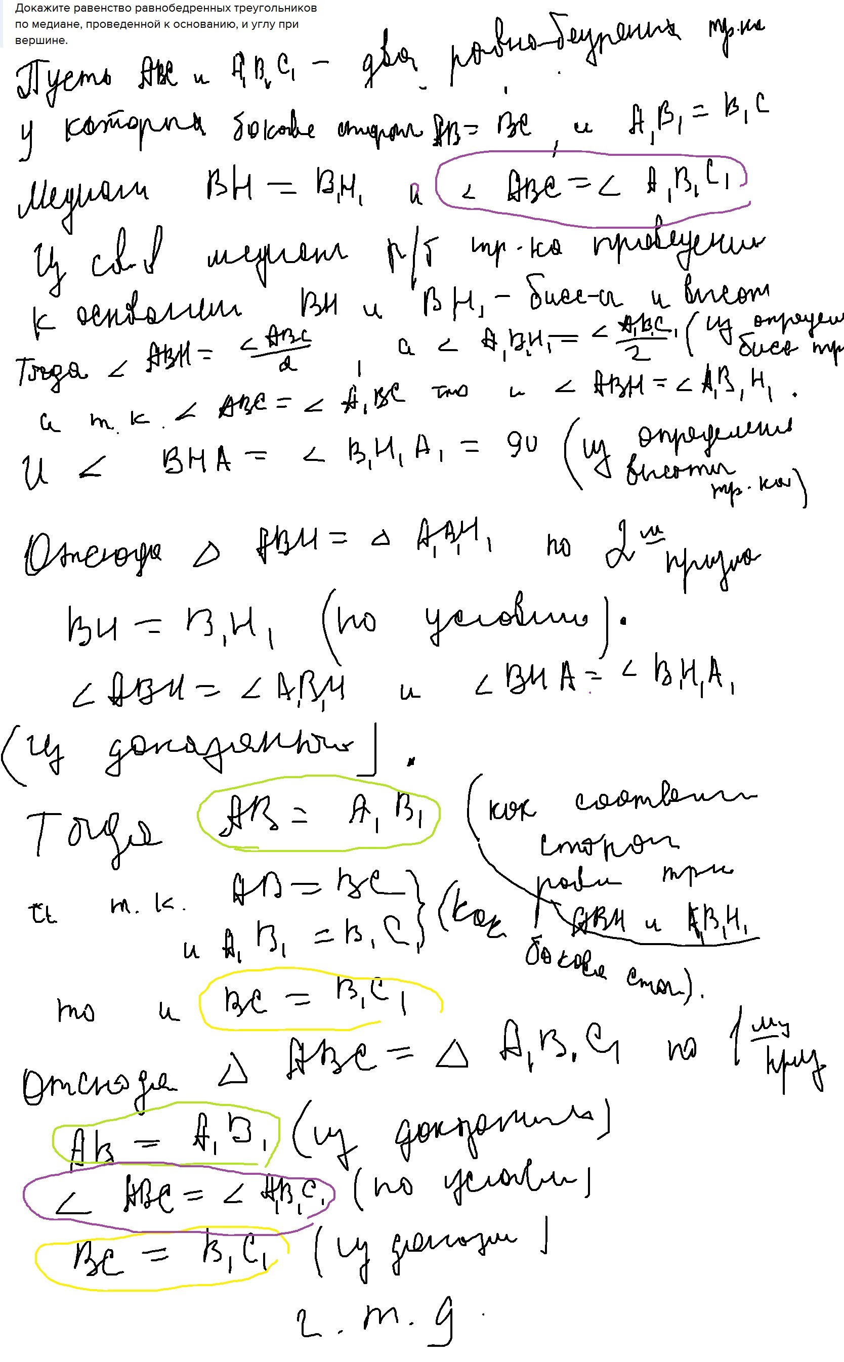
Докажите равенство равнобедренных треугольников по медиане, проведенной к основанию, и углу при вершине.

Ответы

Ответ дал: vikll
0

Докажите равенство равнобедренных треугольников

Приложения:
Ответ дал: Monteteam
0
А можно фото треугольников?
Ответ дал: vikll
0
Два равных р/б АВС и А ₁В₁С₁(основание АС (у одного)и А₁С₁(у другого)у обоих построены медианы ВН(у одного) и В₁Н₁ у другого)(углов равных и прямых лучше не обозначать, а только указывать в доказательстве(только черточки на АН=НС
Ответ дал: vikll
0
И А₁Н₁=Н₁С₁(обозначающие медиану).
Ответ дал: alexzuzik2006
0
можно фото(чертеж) треугольников, а то учителя просят?
Вас заинтересует