• Предмет: Математика
  • Автор: aleksandramayy
  • Вопрос задан 8 лет назад

Вычислите предел, пожалуйста

Приложения:

Ответы

Ответ дал: kirichekov
0
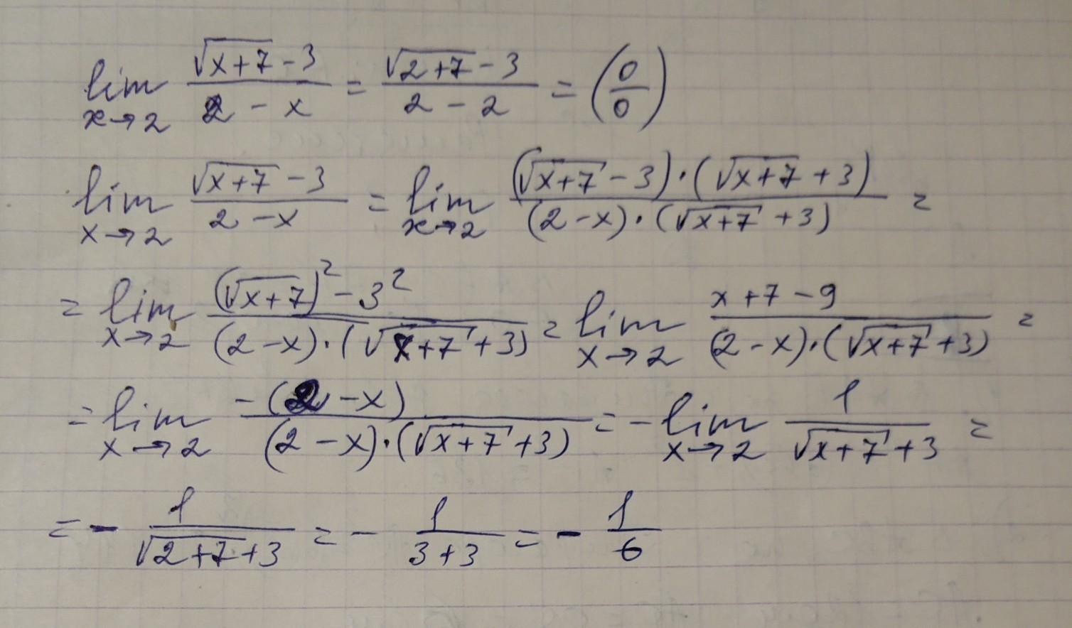
решение во вложении.....
Приложения:
Вас заинтересует