• Предмет: Алгебра
  • Автор: lolahhaah
  • Вопрос задан 8 лет назад

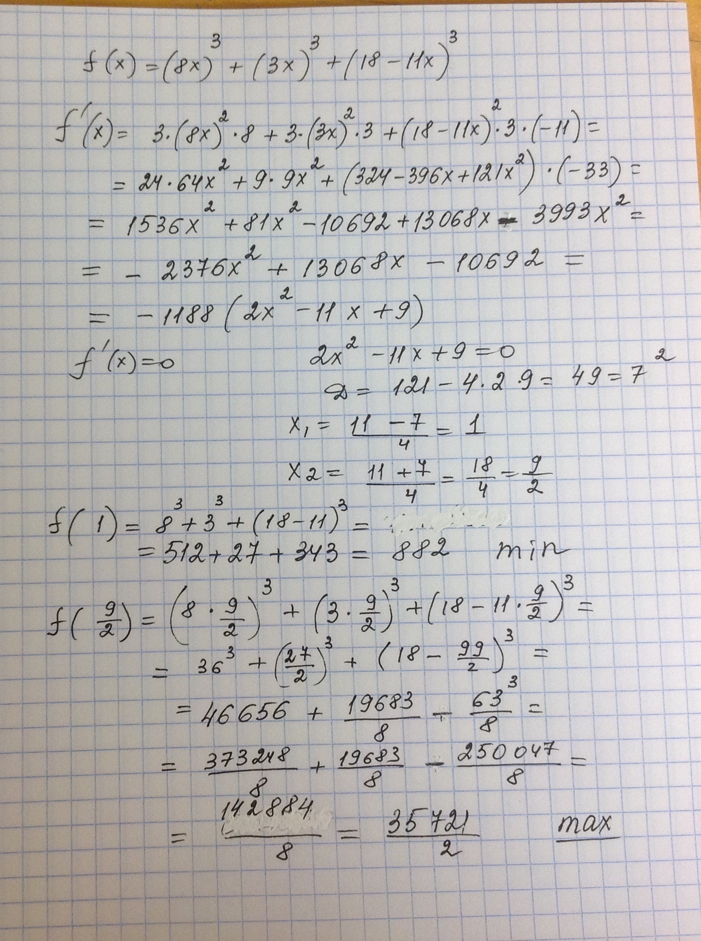
Помогите с производной!!!!! Нужно найти производную функции, максимум и минимум f(x)=(8x)^3+(3x)^3+(18-11x)^3

Ответы

Ответ дал: maksimcat
0

Ответ на фото///////////////////

Приложения:
Ответ дал: lolahhaah
0
Спасибо большое!!
Ответ дал: lolahhaah
0
Ответ правильный )
Вас заинтересует