• Предмет: Алгебра
  • Автор: TheyLoveAru
  • Вопрос задан 8 лет назад

помогите пожалуйста ❤️
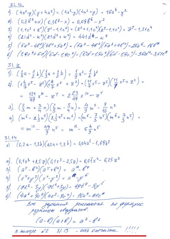
Смотрите фото, номера 31.12, 31.13, 31.14

Приложения:

Ответы

Ответ дал: Lod2000
0

см. вложение..................................

Приложения:
Вас заинтересует