• Предмет: Математика
  • Автор: selena70314
  • Вопрос задан 8 лет назад

пожалуйста срочно надо

Приложения:

Ответы

Ответ дал: parus77
0

Ответ:


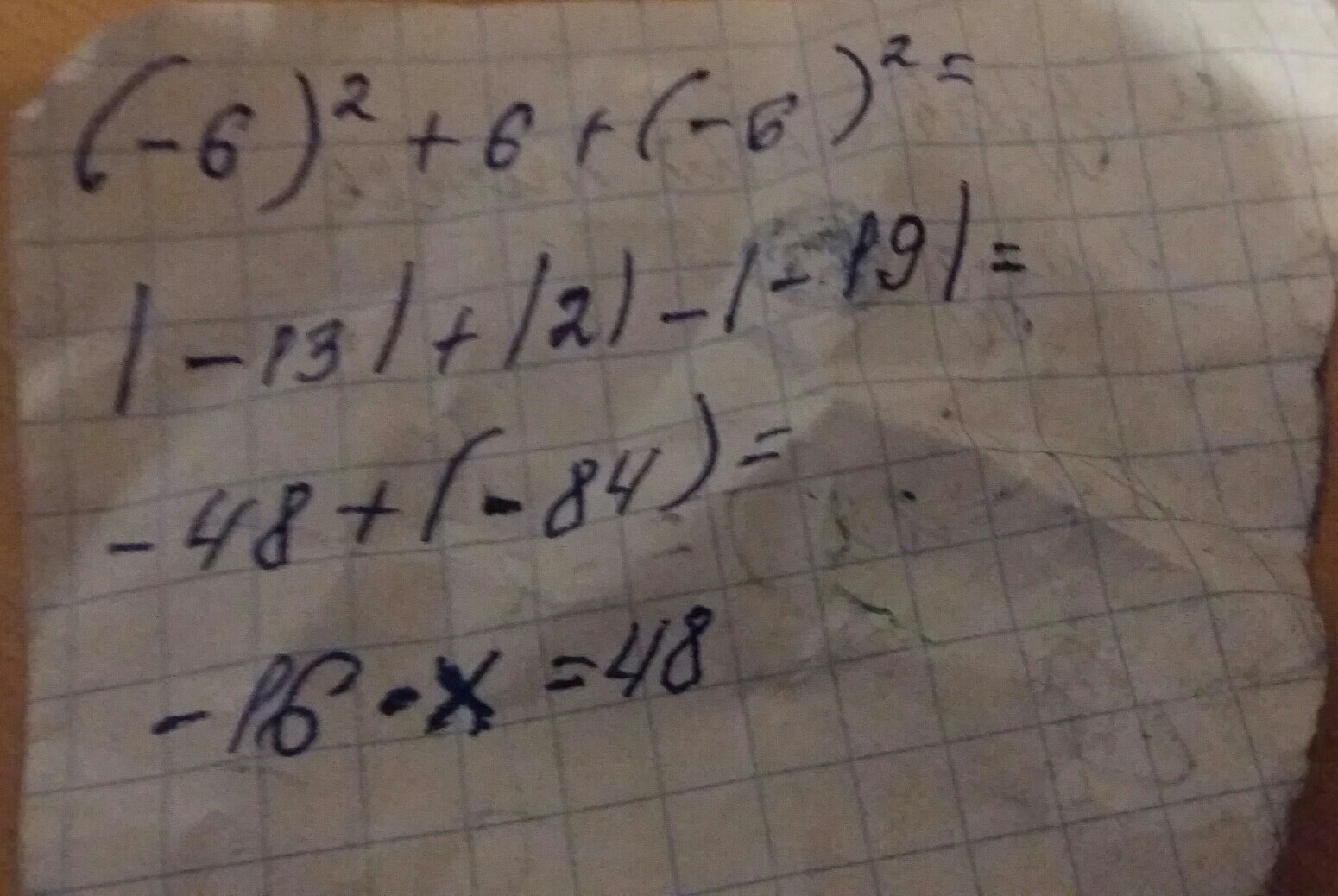
1)=36+6+36=78

2)=13+2-19=15-19=-(19-15)= -4

3)=-(48+84)=- 132

-16х=48

х=48:(-16)

х=-3

Ответ дал: selena70314
0
спасибо
Ответ дал: svanidze89andrey43
0
перепроверь 2 и 4
Ответ дал: parus77
0
у меня правильно.
Ответ дал: selena70314
0
спасибо всем
Вас заинтересует