• Предмет: Математика
  • Автор: Polinausp
  • Вопрос задан 8 лет назад

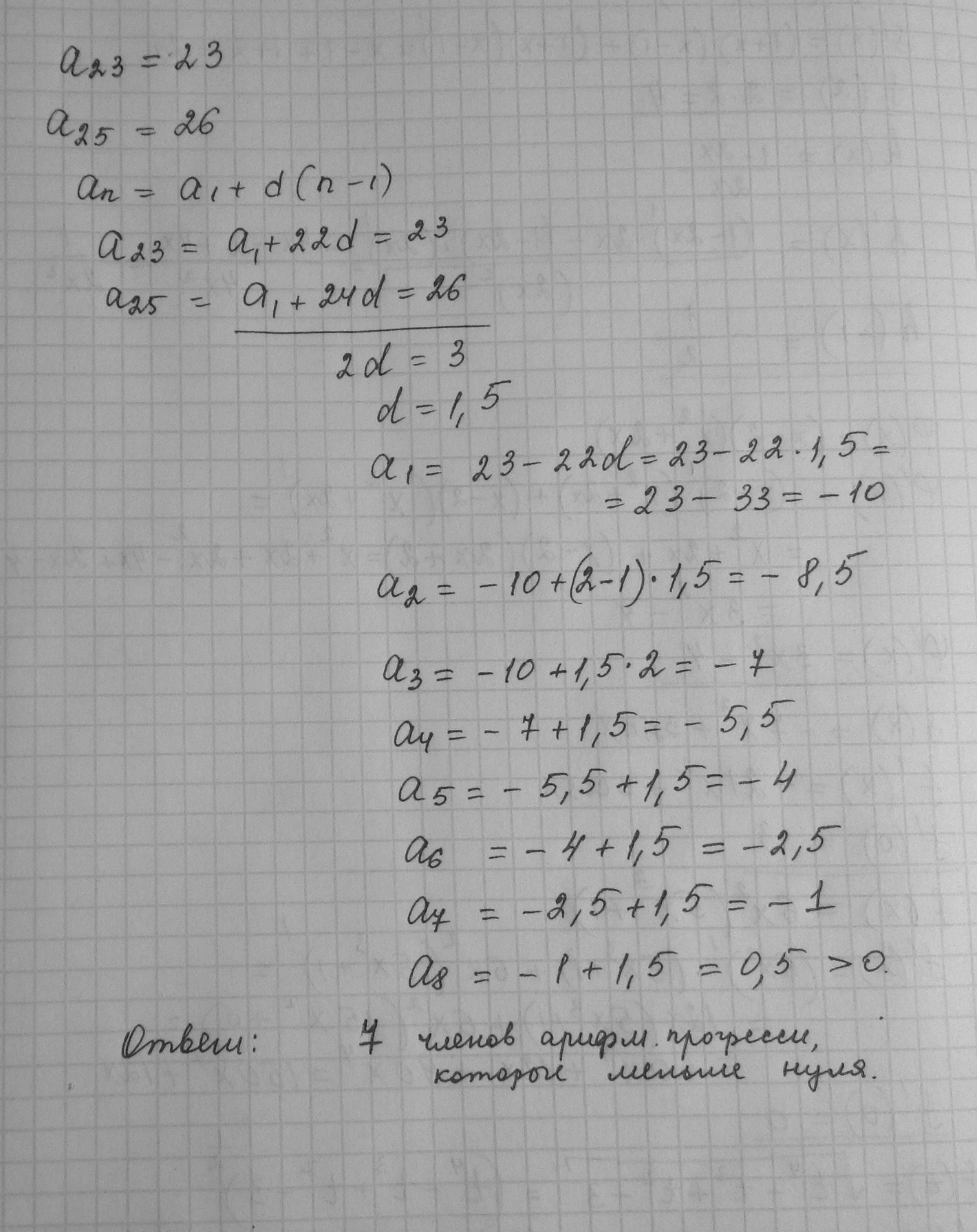
Сколько негативных членов в арифметической прогрессии если а23=23 , а25=26

Ответы

Ответ дал: maksimcat
0

Ответ:


Пошаговое объяснение:

Ответ на фото/////////////////

Приложения:
Вас заинтересует