• Предмет: Алгебра
  • Автор: wppt25
  • Вопрос задан 8 лет назад

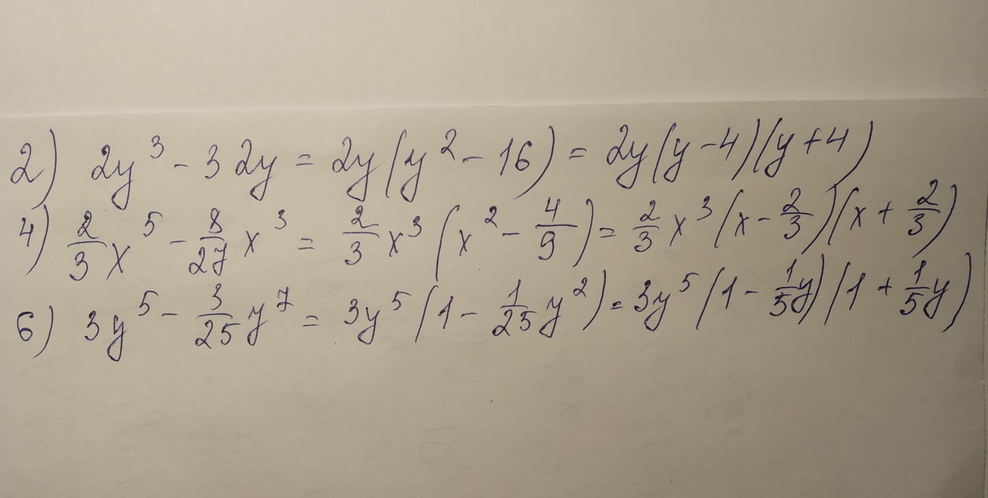
разложите на множители только 2,4,6.

Приложения:

Ответы

Ответ дал: pascal96
0
2)2y(y^2-16)
4)x^3(2/3y^2-3/27)
6)y^5(3-3/25y^2)
Ответ дал: michindjeva
0
2,4 и 6 задание смотри на фото.
Приложения:
Ответ дал: wppt25
0
спасибо большое вам
Вас заинтересует