Помогите решить уравнение. 10 баллов. Примените формулу "разность квадратов".
(16/27)x^2-(1/12)=0
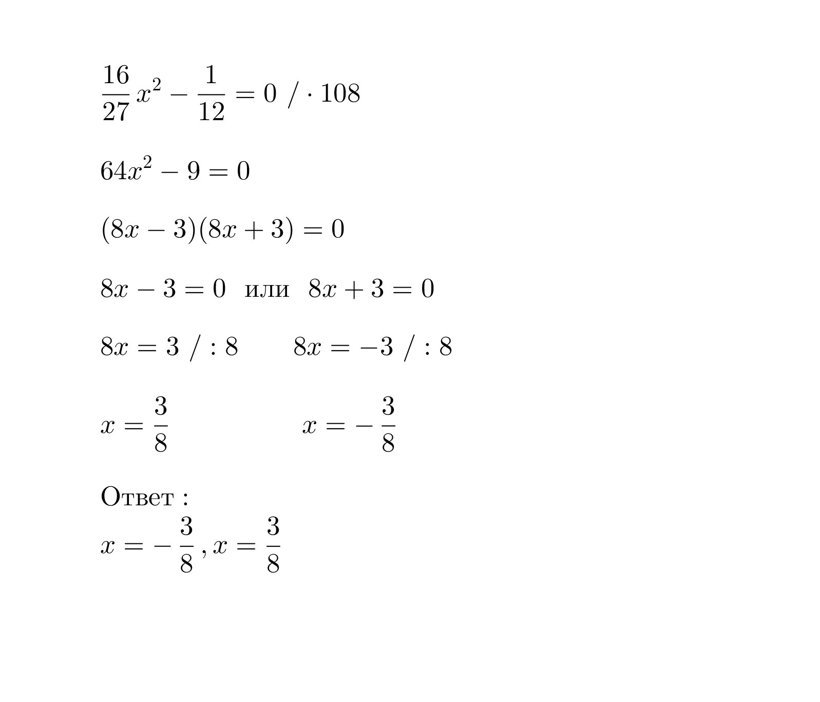
Приложения:

Ответы
Ответ дал:
0
Смотри..............
Приложения:

Ответ дал:
0
Ответ в файле
………………...........
Приложения:

Вас заинтересует
2 года назад
2 года назад
3 года назад
3 года назад
8 лет назад
8 лет назад
9 лет назад