Ответы
Ответ дал:
0
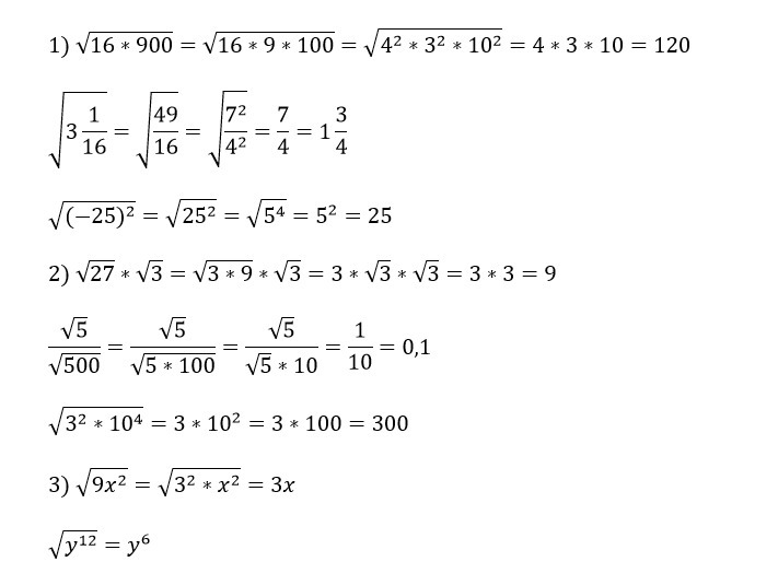
1.a)√16·900=4·30=120.
б)=√49/16=7/4=1,75.
в)=√25²=25
2.а)=√81=9.
б)=√5/500=√1/100=1/10.
в)=3·10²=300.
3.а)√9х²=3·I X I=3X ,если х>0
б)√у^12=y^6
Ответ дал:
0
см. вложение.....................
Приложения:

Вас заинтересует
2 года назад
2 года назад
3 года назад
3 года назад
9 лет назад
9 лет назад