Ответы
Ответ дал:
0
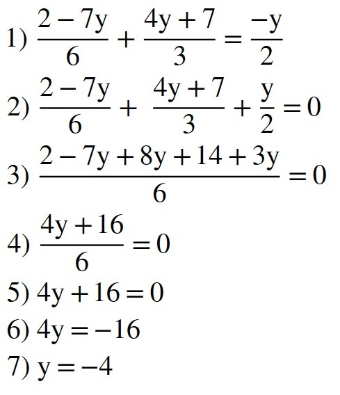
Ответ: В 3 номере y = -4;
В 4 номере y = -6
Пошаговое объяснение:
1) Исходное уравнение.
2) Переносим всё в одну сторону.
3) Приводим к общему знаменателю.
4) Упрощаем(приводим подобные).
5) Дробь равна нулю, если числитель равен нулю.
6) Ответ.
Приложения:


Вас заинтересует
2 года назад
2 года назад
3 года назад
3 года назад
8 лет назад
9 лет назад