• Предмет: Математика
  • Автор: vladantonov302
  • Вопрос задан 8 лет назад

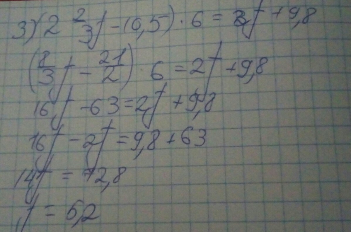
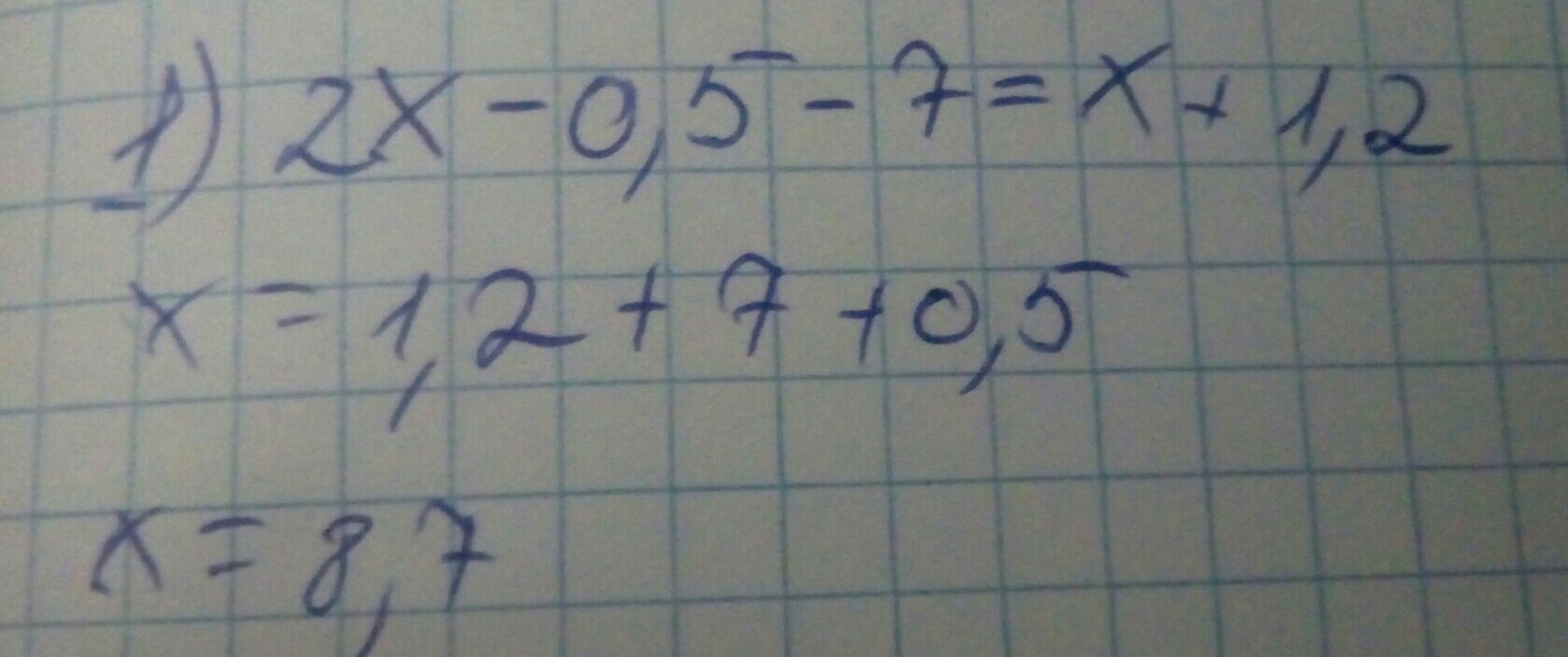
При каком значении переменной значение выражения 1) 2x-0.5 на 7 больше значения выражение x +1.2 2) 2 2/3t -10.5 в 6 раз меньше значения выражение 2t +9.8

Ответы

Ответ дал: vladablossom
0
вот ответы, решение там написано.
Приложения:
Ответ дал: Xaguwa
0
Не правильно
Ответ дал: vladablossom
0
правильно, учитель проверила
Вас заинтересует