Ответы
Ответ дал:
0
Ответ:
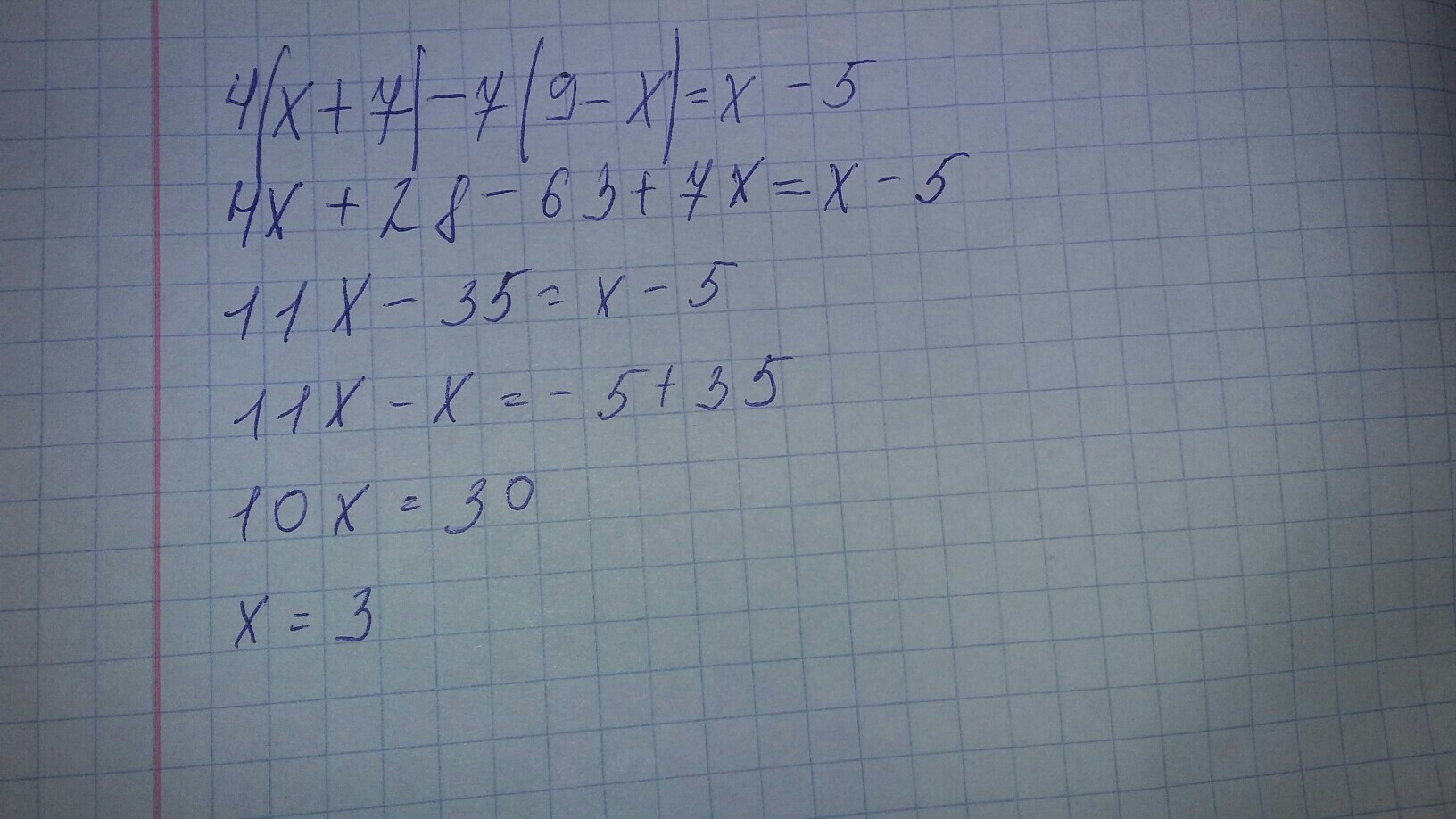
3
Пошаговое объяснение:
Раскрываем скобки:
4x + 28 - 63 + 7x = x - 5
Группируем - числа с неизвестными коэффициентами в одну сторону, без коэффициентов - в другую:
4x + 7x - x = -5 - 28 + 63
10x = 30
x = 30 / 10 = 3
Ответ дал:
0
Ответ на фото)))))))
Приложения:

Вас заинтересует
2 года назад
3 года назад
3 года назад
9 лет назад
9 лет назад
9 лет назад
9 лет назад