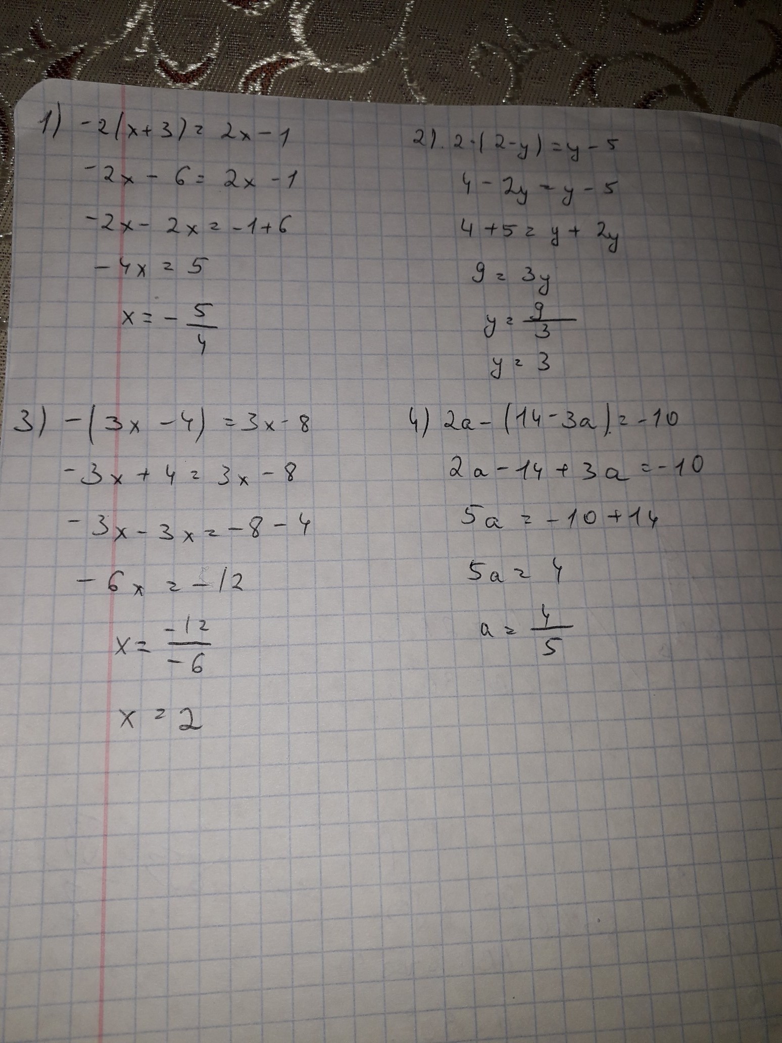
Найдите корни уравнений:
1) -2 (х + 3) = 2х - 1
2) 2 (2 - у) = у - 5
3) - (3х - 4) = 3х - 8
4) 2а - (14 - 3а) = - 10
Ответы
Ответ дал:
0
вот.................
Приложения:


Ответ дал:
0
а можешь решить ещё вот это? x/5 - 4= - 0,1x + 2 (если что / это дробь)
Ответ дал:
0
если сможешь
Ответ дал:
0
да, сейчас
Ответ дал:
0
спасибо огромное ❤️❤️❤️
Ответ дал:
0
да не за что!❤
Вас заинтересует
2 года назад
2 года назад
3 года назад
8 лет назад
8 лет назад
9 лет назад