• Предмет: Математика
  • Автор: frobbyword
  • Вопрос задан 8 лет назад

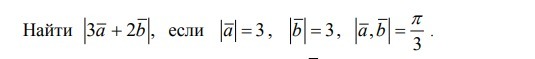
Найти модуль |3a+2b| если |a|=3 |b|=3 , |a,b| = pi/3

Приложения:

Ответы

Ответ дал: Hacker43246
0

Ответ:


Пошаговое объяснение:

1) ab=|a|•|b|•cos(a;b)

ab=4•1•cos120=-4cos60=-2

2) |a-2b|²=(a-2b)²=a²-4ab+4b²=4²-4•(-2)+4•1²=28⇒

|a-2b|=√28=2√7

Вас заинтересует