• Предмет: Алгебра
  • Автор: caterogozina2016
  • Вопрос задан 8 лет назад

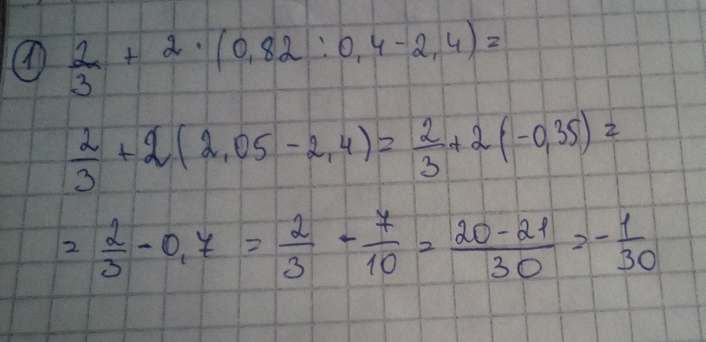
1) 2/3 + 2 * (0.82 : 0.4 - 2.4)
2) (0.005 - 0.041 : 0.2) * 1.25 + 1/3
3) (5/18 - 7/12 * 0.5) * 5/18 - 2/3
4) - 0.25 + 5/24 : (1/3 * 1,25 - 7/16)

Ответы

Ответ дал: nikitka1805
0
Если что-то не понятно, пиши
Приложения:
Вас заинтересует