• Предмет: Математика
  • Автор: AlikGoal
  • Вопрос задан 8 лет назад

помогите пж по матем изи

Приложения:

Ответы

Ответ дал: Lod2000
0

Ответ:


Пошаговое объяснение:

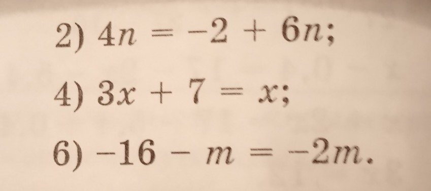
2) 4n = -2 + 6n

4n - 6n = -2

-2n = -2

n = 1


4) 3x +7 = x

3x - x = -7

2x = -7

x = -3.5


6) -16 - m = -2m

-m + 2m = 16

m = 16

Ответ дал: master200481
0
Спасибо, не заметил.
Вас заинтересует