Ответы
Ответ дал:
0
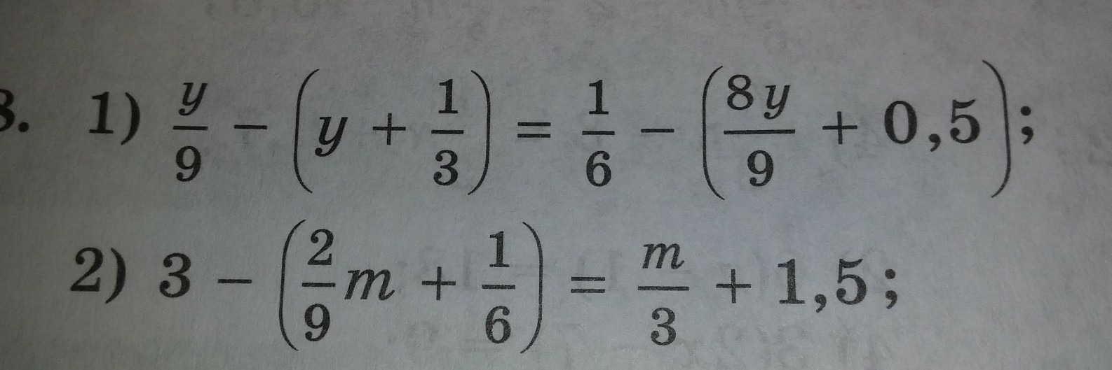
1.
y/9-y-1/3=1/6-8y/9-0,5
y/9-y+8y/9=1/6-1/2+1/3
(y-9y+8y)/9=(1-6+6)/6
решений нет
2.
3-2m/9-1/6=m/3+3/2
m/3+2m/9=3-1/6-3/2
(3m+2m)/9=(18-1-9)/6
5m/9=3/2
5m=27/2
m=67.5
но надо проверять. не удобно без листика
y/9-y-1/3=1/6-8y/9-0,5
y/9-y+8y/9=1/6-1/2+1/3
(y-9y+8y)/9=(1-6+6)/6
решений нет
2.
3-2m/9-1/6=m/3+3/2
m/3+2m/9=3-1/6-3/2
(3m+2m)/9=(18-1-9)/6
5m/9=3/2
5m=27/2
m=67.5
но надо проверять. не удобно без листика
Ответ дал:
0
аааа не правильно. m = 2.7
Вас заинтересует
2 года назад
2 года назад
3 года назад
9 лет назад