• Предмет: Алгебра
  • Автор: shabynevish98
  • Вопрос задан 8 лет назад

Решите номер 7 и 6 пожалуйста поже и плисссссссссссссссс

Приложения:

Ответы

Ответ дал: JackLondon1876
0

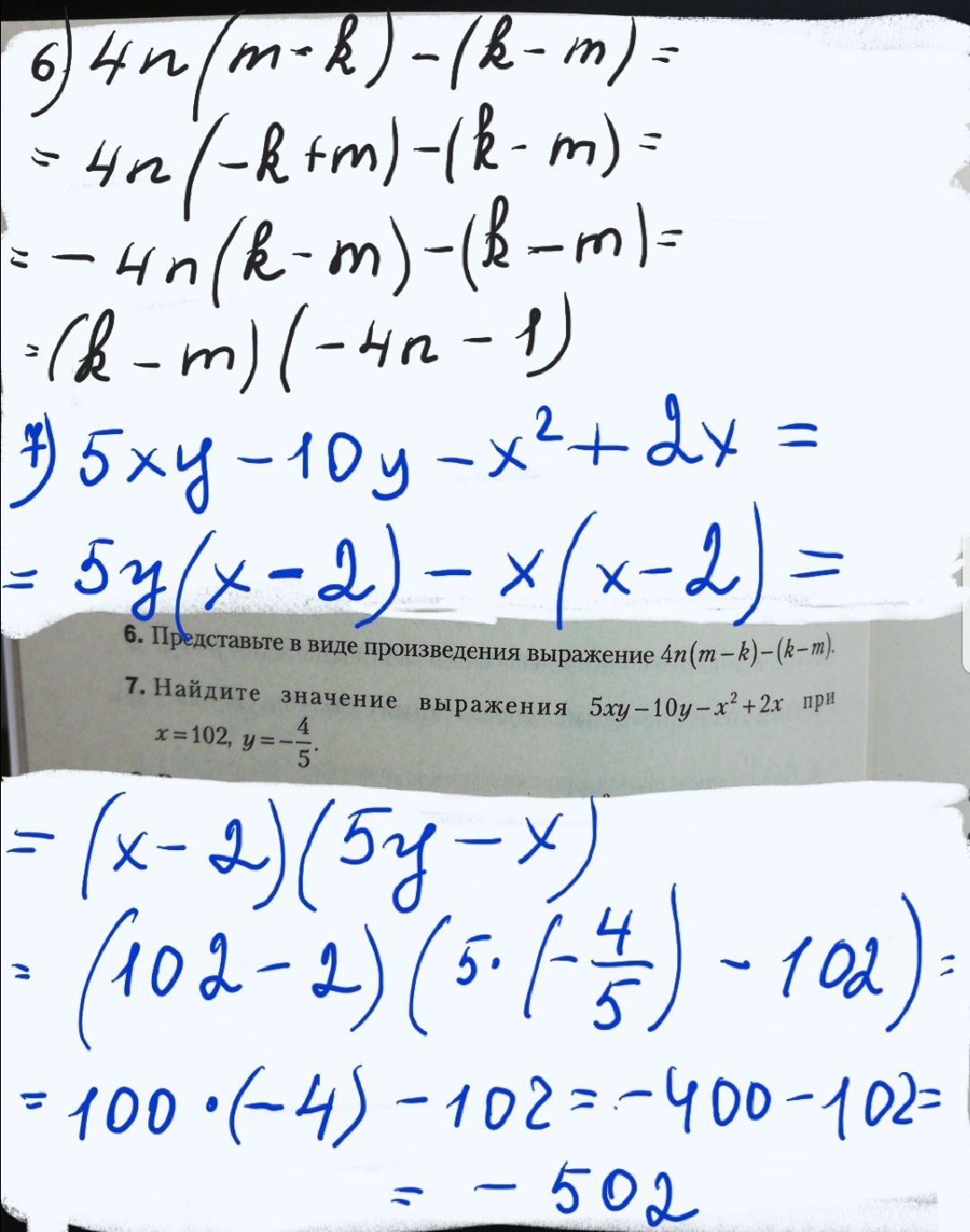
n6

4n(m-k)+(m-k)=(m-k)(4n+1)

n7

5xy-10y-x^2+2x=5y(x-2)-x(x-2)=(x-2)(5y-x)=(102-2)(-8-102)=100*(-110)=-11000

Ответ дал: Elo4kaw
0

Разложение многочлена на множители.

Приложения:
Вас заинтересует