• Предмет: Математика
  • Автор: VKTITOROVA
  • Вопрос задан 8 лет назад

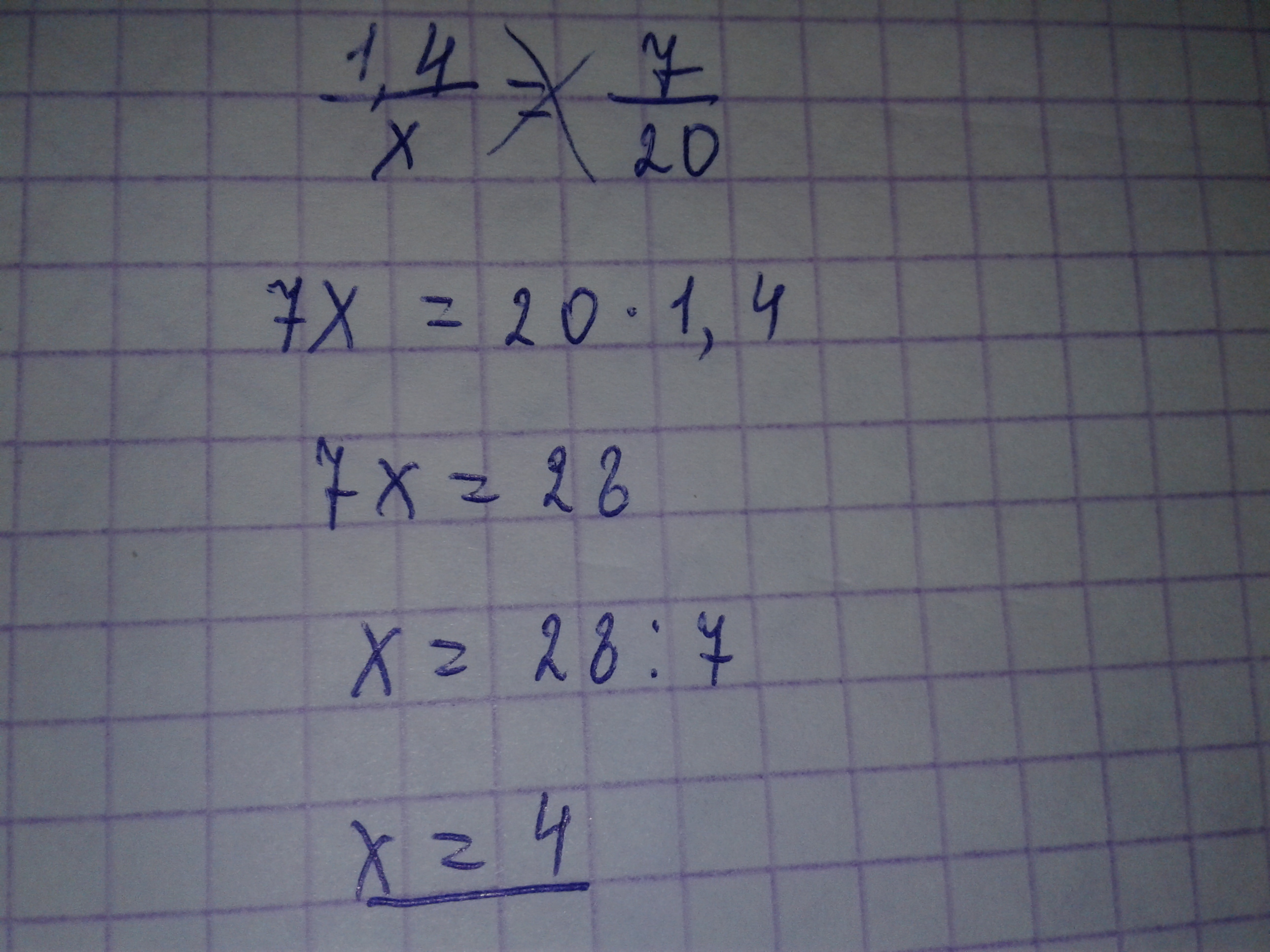
1,4/х=7÷20 помогите пожалуйста

Ответы

Ответ дал: yanakorobkova2000
0

Ответ:x = 4


Пошаговое объяснение:1,4/x=7/20  Сперва множим на 20, получаеться 28/x=7, отсюда х равен 28/7 = 4


Ответ дал: polinabodrova52003
0

Ответ:

Решаем,как пропорцию. Удачи в учёбе))))

Пошаговое объяснение:


Приложения:
Вас заинтересует