• Предмет: Математика
  • Автор: Karinka022
  • Вопрос задан 8 лет назад

Помогите пожалуйста с уравнениями!
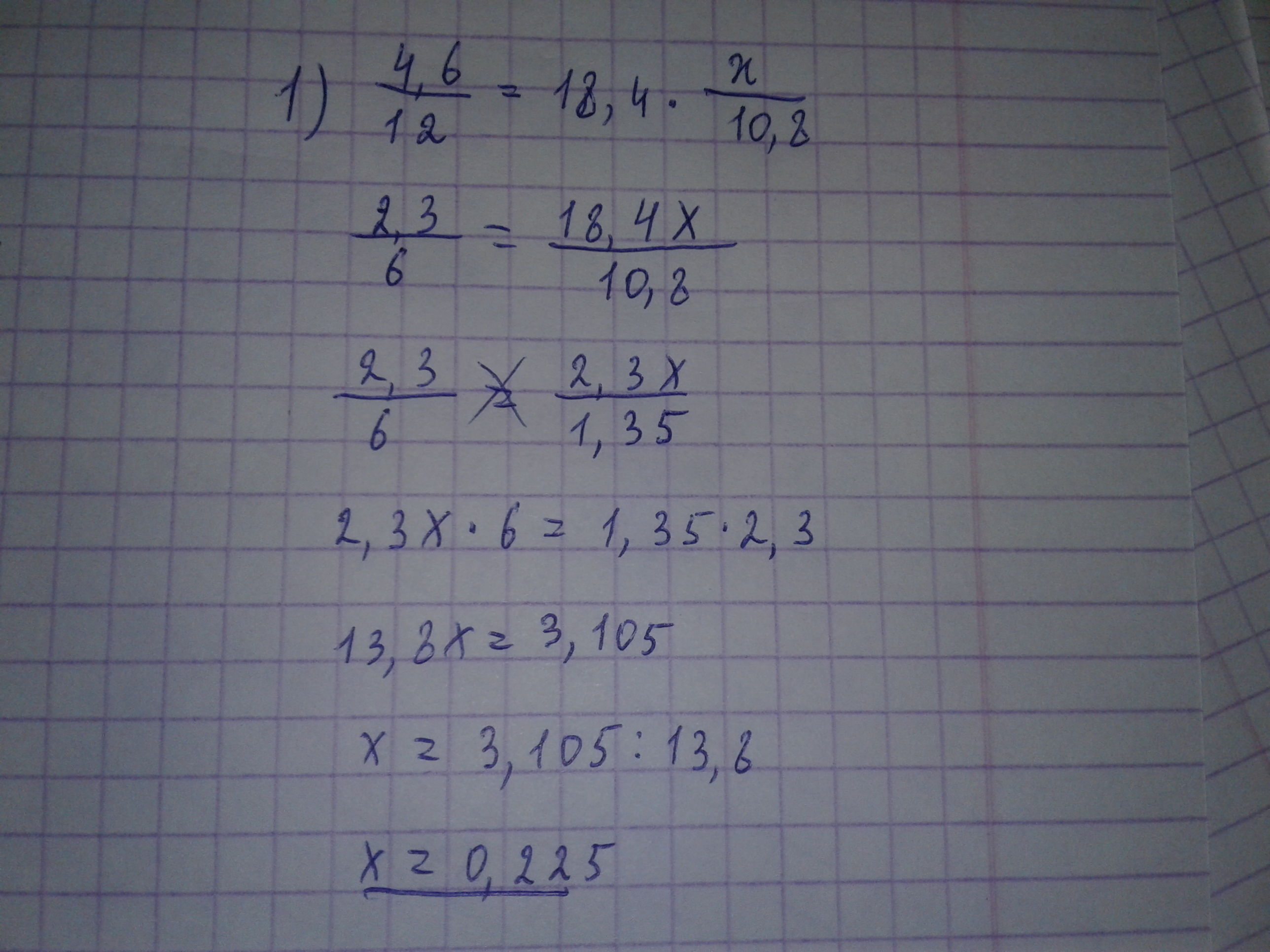
4,6/12 = 18,4 * x/10,8

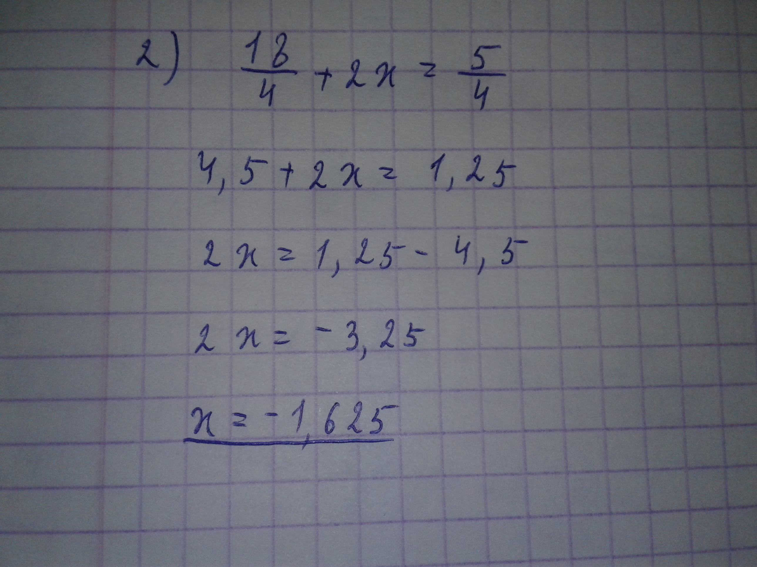
18/4+2x = 5/4
(* - умножение, / - дробь)

Ответы

Ответ дал: polinabodrova52003
0

Ответ:

Удачи тебе ))))

Пошаговое объяснение:


Приложения:
Вас заинтересует