• Предмет: Алгебра
  • Автор: Kolyanzubrila
  • Вопрос задан 8 лет назад

Помогите решить:
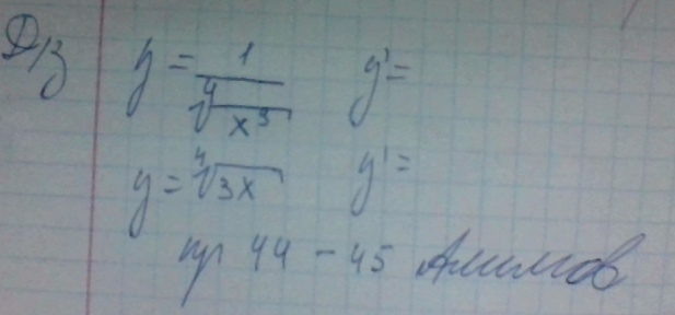
y=1/4 x в 4 степени - x в 3 степени
и второй пример

Приложения:

Ответы

Ответ дал: Universalka
0

1)y=frac{1}{sqrt[4]{x^{3}}}=frac{1}{x^{frac{3}{4}}}=x^{-frac{3}{4} }\\y'=(x^{-frac{3}{4} })'=-frac{3}{4}x^{-frac{7}{4} }=-frac{3}{4sqrt[4]{x^{7}}}=-frac{3}{4xsqrt[4]{x^{3}}}

2)y=sqrt[4]{3x}=(3x)^{frac{1}{4} }=3^{frac{1}{4} }*x^{frac{1}{4}}\\y'= 3^{^{frac{1}{4}}}*(x^{frac{1}{4} })'=3^{frac{1}{4} }*frac{1}{4}x^{-frac{3}{4} }=frac{sqrt[4]{3} }{4sqrt[4]{x^{3}}}

Вас заинтересует