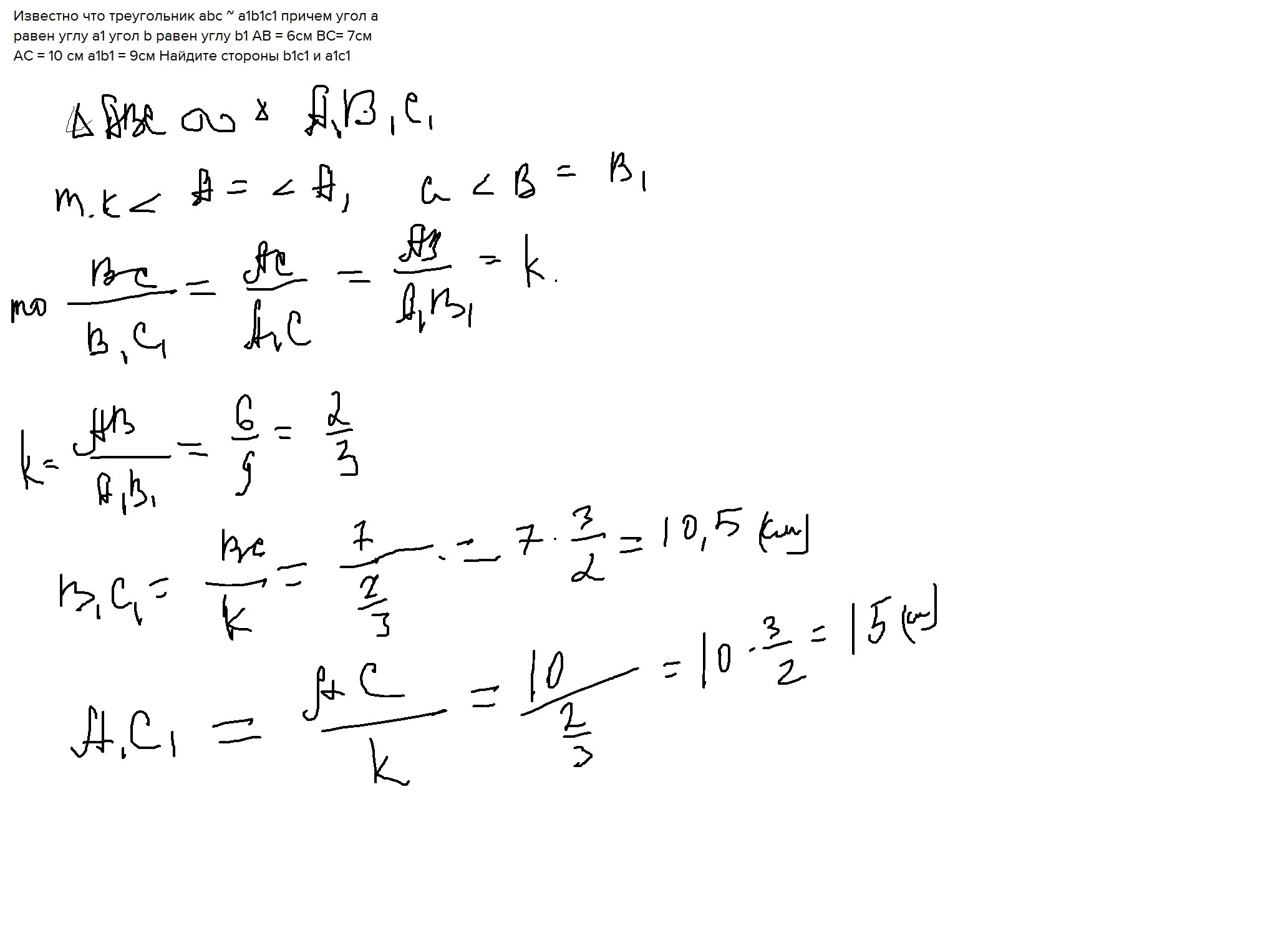
известно что треугольник abc ~ a1b1c1 причем угол а равен углу а1 угол b равен углу b1 AB = 6см BC= 7см AC = 10 см a1b1 = 9см Найдите стороны b1c1 и a1c1
Ответы
Ответ дал:
0
известно что треугольник abc ~ a1b1c1 причем угол а равен углу а1 угол b
Приложения:

Вас заинтересует
2 года назад
2 года назад
3 года назад
9 лет назад
9 лет назад
9 лет назад
9 лет назад