Ответы
Ответ дал:
0
.............................
Приложения:

Ответ дал:
0
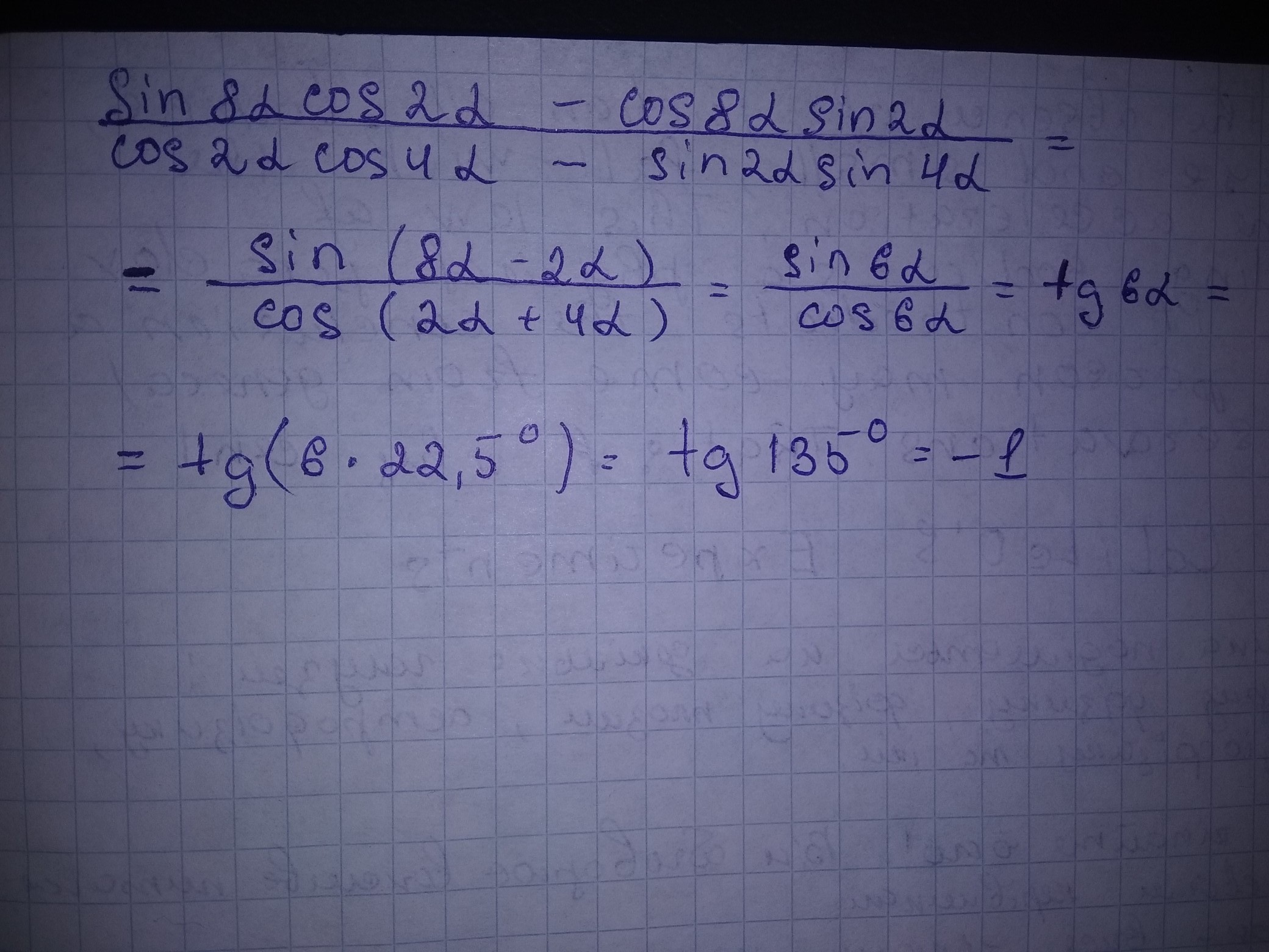
в числителе sin6 альфа, в знаменателе соs 6 альфа, и получается tg 6 альфа. подставляем вместо алфа 22,5. итого тангенс 135 градусов. tg 136=tg (180-45)= - tg 45 = - 1
Ответ дал:
0
у меня в таблице уже указан tg135°=-1 поэтому я не расписывала но спасибо за уточнение
Ответ дал:
0
Пожалуйста
Ответ дал:
0
Ответ:tg(6a)
Пошаговое объяснение:
(sin8acos2a-cos8asin2a)/(cos2acos4a-sin2asin4a)=sin(8a-2a)/cos(2a+4a)=sin(6a)/cos(6a)=tg(6a)
Приложения:

Вас заинтересует
2 года назад
2 года назад
3 года назад
9 лет назад
9 лет назад