Ответы
Ответ дал:
0
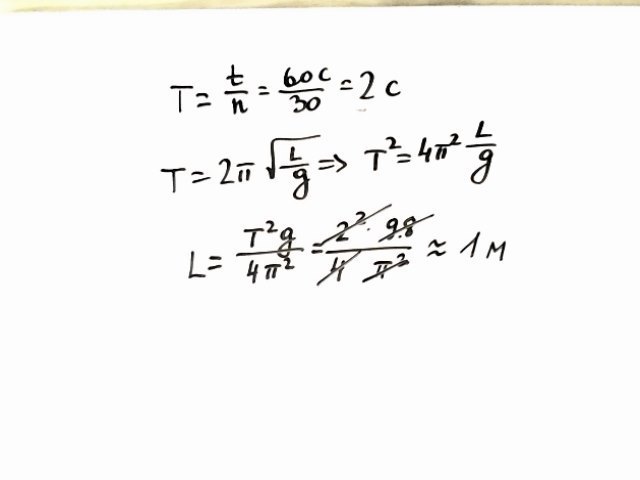
математический маятник за 60с сделал 30 колебаний. Нвйдите длину нити этого маятника
Приложения:

Вас заинтересует
2 года назад
2 года назад
3 года назад
3 года назад
9 лет назад
9 лет назад
9 лет назад