Ответы
Ответ дал:
0
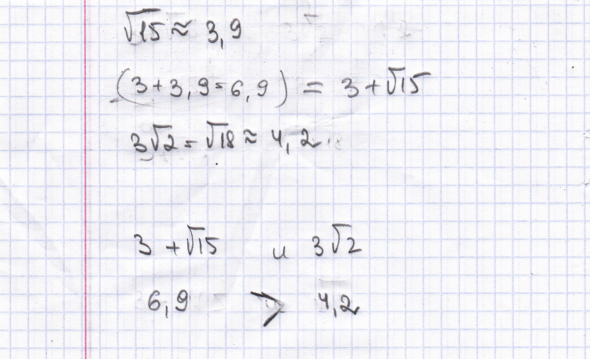
Сравните числа корень из 3 плюс корень из 15 и 3 корня из 2
оба выражения положительны поэтому можем взвести в квадрат оба числа

слева число больше
значит первое больше
оба выражения положительны поэтому можем взвести в квадрат оба числа
слева число больше
значит первое больше
Ответ дал:
0
ну-с,как то так)
обращайся)))
обращайся)))
Приложения:
Ответ дал:
0
там не просто три, там корень из трех
Вас заинтересует
3 года назад
8 лет назад
11 лет назад
11 лет назад
11 лет назад
11 лет назад