Ответы
Ответ дал:
0
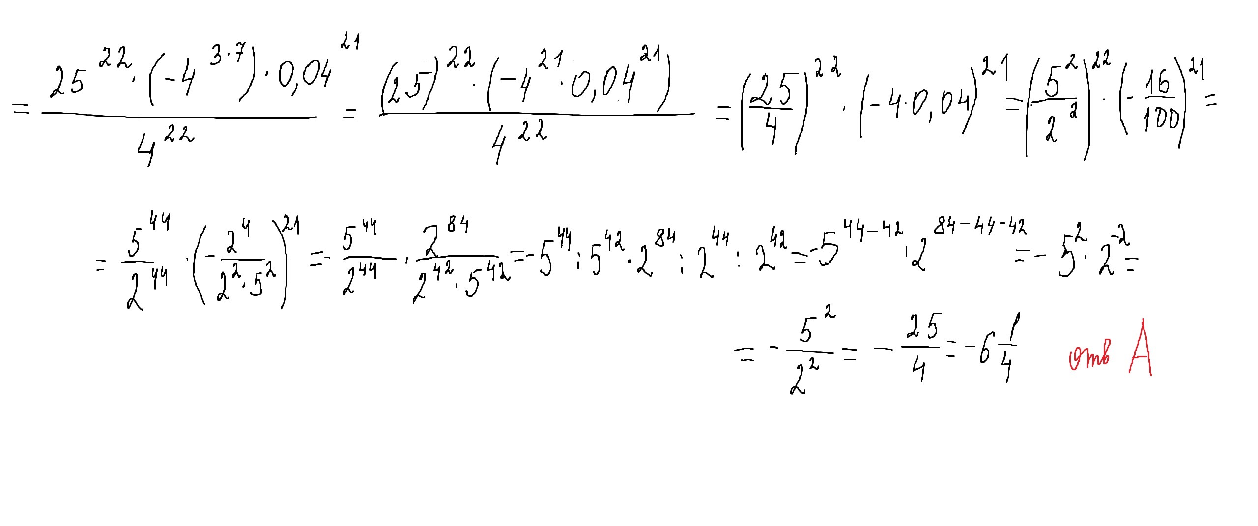
применяем свойства степеней
смотри решение внизу
Приложения:

Ответ дал:
0
СПАСИБО!
Ответ дал:
0
пожалуйста
Вас заинтересует
2 года назад
2 года назад
3 года назад
8 лет назад