• Предмет: Алгебра
  • Автор: artem4ik1999
  • Вопрос задан 11 лет назад

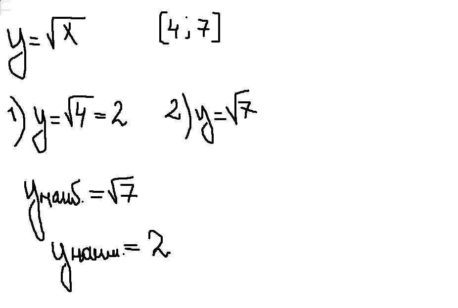
Постройте график функции у= sqrt{x} . Найдите:

а) Наименьшее и наибольшее значения этой функции на отрезке [4; 7]
б) координаты точки пересечения графика этой функции с прямой х-2у=0

Ответы

Ответ дал: msr
0
Надеюсь, что так. Только графики подпиши
Приложения:
Вас заинтересует