Ответы
Ответ дал:
0
Ответ:
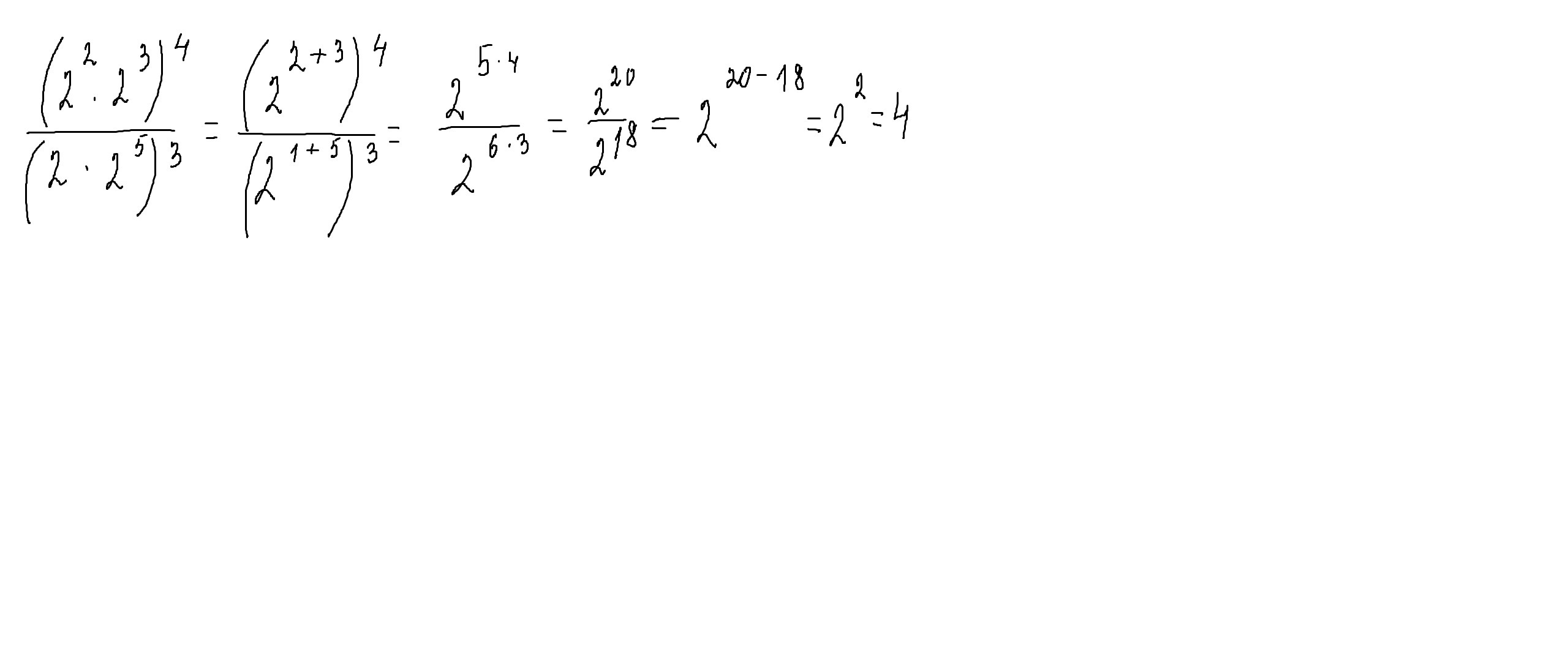
при умножении степеней с одинаковыми основаниями показатели складываются,при делении-вычитаются,в при возведении в степень-умножаются.
Пошаговое объяснение:
решение смотри внизу
Приложения:

Вас заинтересует
2 года назад
2 года назад
3 года назад
3 года назад
9 лет назад
9 лет назад