• Предмет: Математика
  • Автор: karinakamaldinova67
  • Вопрос задан 8 лет назад

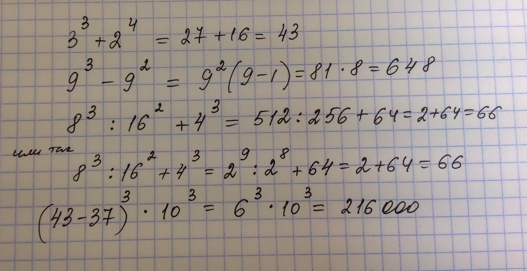
Вычислите : 3 в 3 степени + 2 в 4 степени ;
9 в 3 степени - 9 в 2 степени ;
8 в 3 степени : 16 в 2 степени + 4 в 3 степени
(43 - 37)в 3 степени * 10 в 3 степени

Срочноо пожайлуста дам 98 баллов

Ответы

Ответ дал: AndreiYT
0

Ответ:

3^3+2^4=43

9^3-9^2=648

8^3:16^2+4^3=66

943-370^3*10^3=216000


Пошаговое объяснение:


Ответ дал: maksimcat
0

Ответ:


Пошаговое объяснение:

Ответ на фото//////////////////////

Приложения:
Вас заинтересует