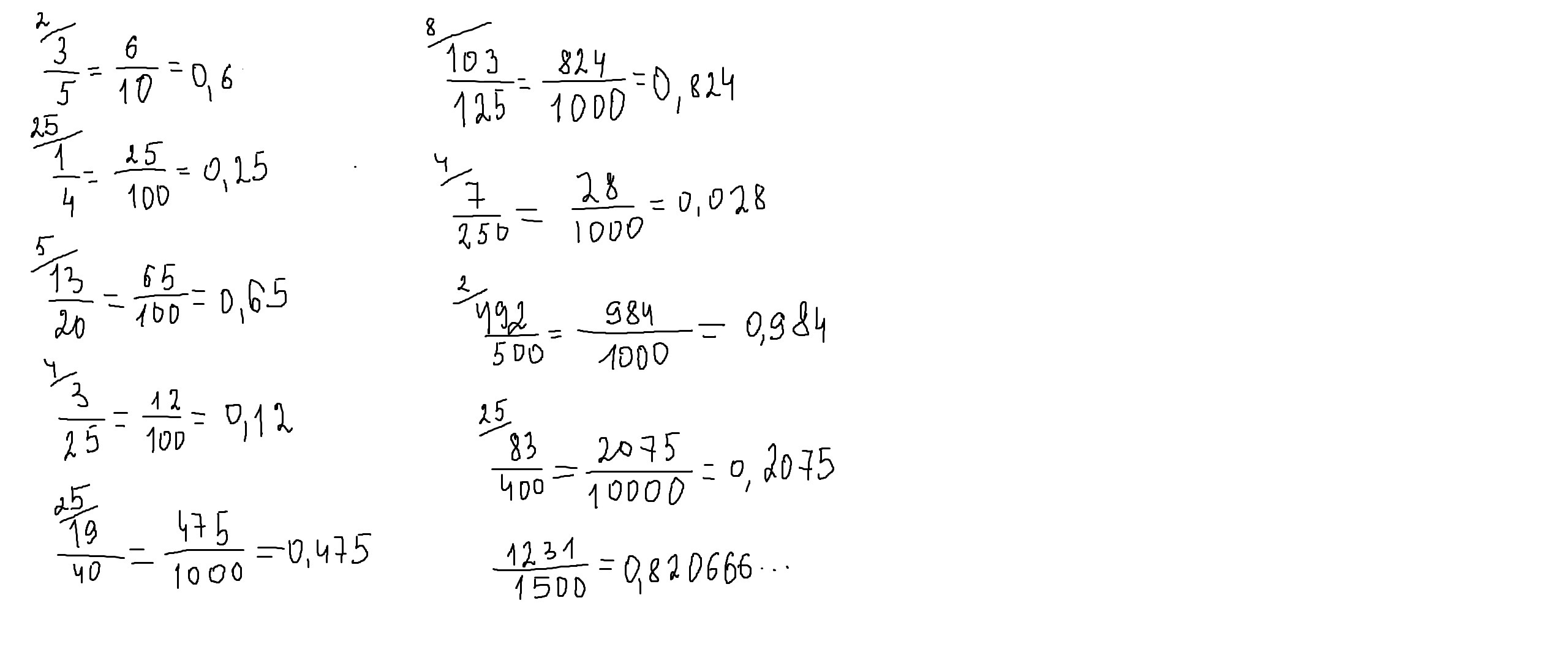
приведите к дроби со знаменателем кратным 10 и запишыте десятичную дробьравнуюдроби 3/5 1/4 13/20 3/25 19/40 103/125 7/250 492/ 500 83/400 1231/1500
Ответы
Ответ дал:
0
Ответ:проверь последнюю дробь,она не превращается в конечную десятичную дробь.
остальные смотри внизу
Приложения:

Вас заинтересует
2 года назад
2 года назад
3 года назад
3 года назад
8 лет назад
8 лет назад
9 лет назад