Ответы
Ответ дал:
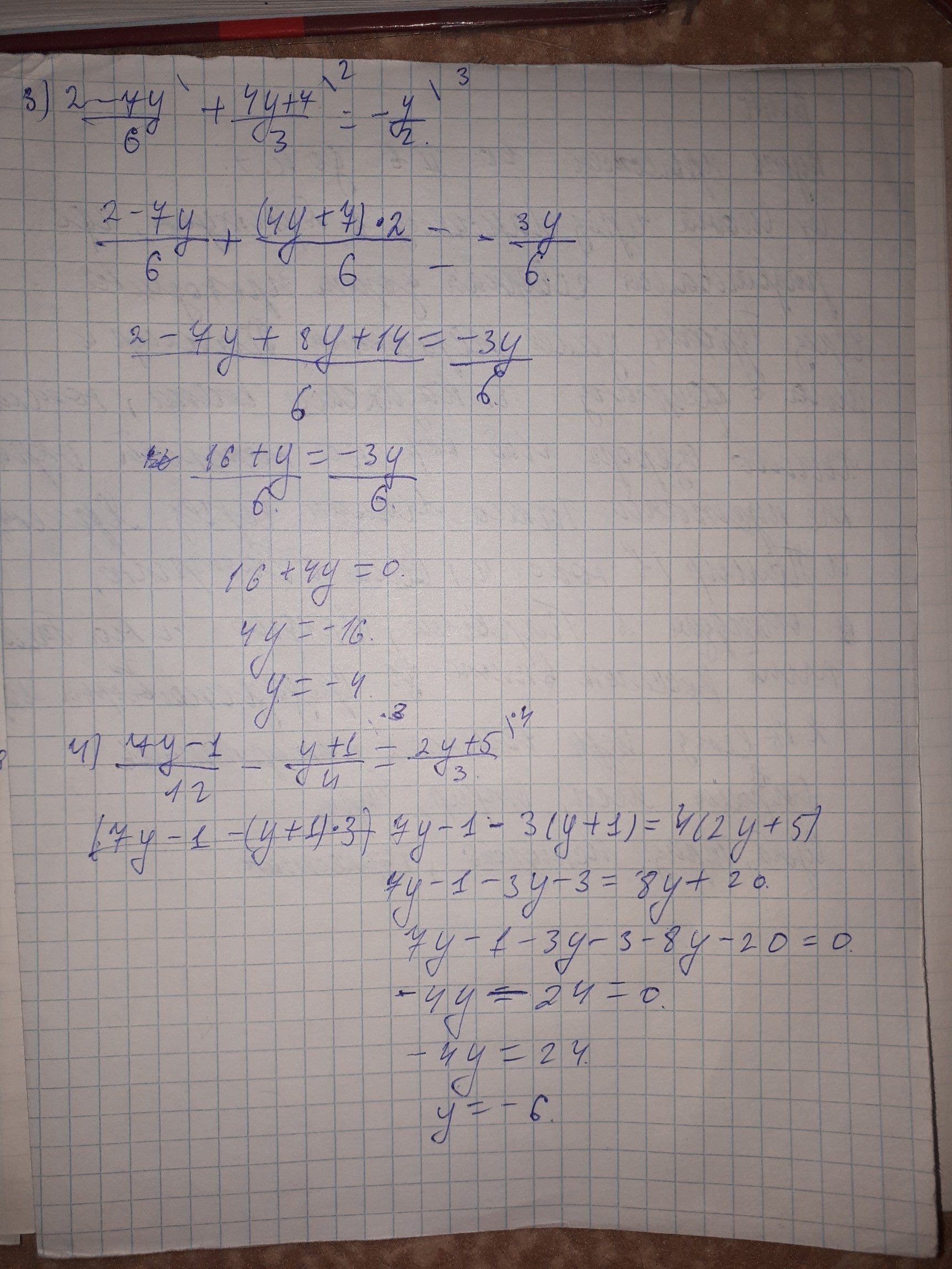
0
не знаю, правильно или нет (надеюсь, что правильно, ибо легко :))
(Чистота оставляет желать лучшего.)
если хочешь могу заново написать (еще "чище")
(Чистота оставляет желать лучшего.)
если хочешь могу заново написать (еще "чище")
Приложения:

Вас заинтересует
2 года назад
2 года назад
3 года назад
3 года назад
8 лет назад
8 лет назад
9 лет назад