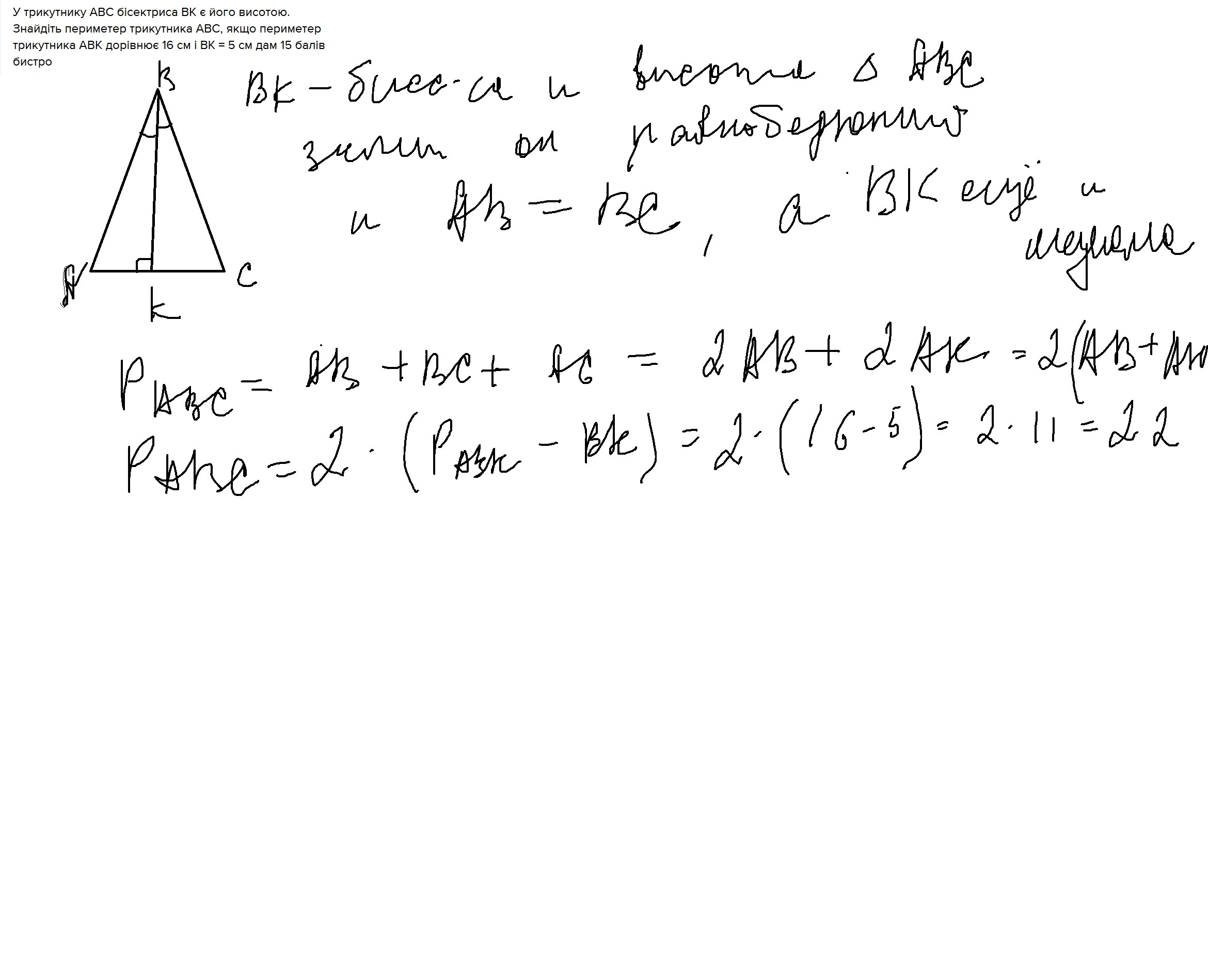
У трикутнику АВС бісектриса ВК є його висотою. Знайдіть периметер трикутника АВС, якщо периметер трикутника АВК дорівнює 16 см і ВК = 5 см дам 15 балів бистро пж Спасібо
Ответы
Ответ дал:
0
У трикутнику АВС бісектриса ВК є його висотою. Знайдіть периметер трикутника АВС, якщо периметер
Приложения:

Ответ дал:
0
Спасіба бо була мені завтра срака від училки
Вас заинтересует
2 года назад
2 года назад
3 года назад
3 года назад
8 лет назад
8 лет назад