Ответы
Ответ дал:
0
решение заданий смотри на фото.
Приложения:

Ответ дал:
0
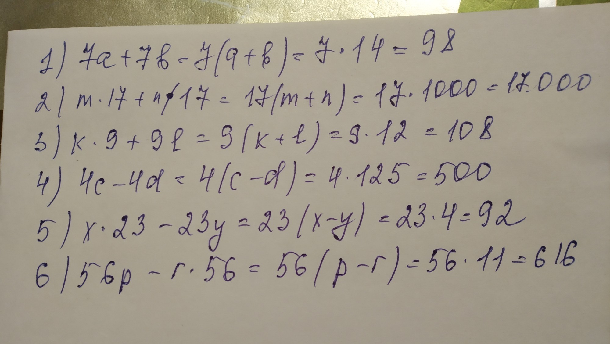
Ответ:1) 7а+7б=7(а+б)=7*14=98
2)m*17+n*17=17(m+n)=17*1000=17000
3)k*9+9l=9(k+l)=9*12=108
4)4c-4d=4(c-d)=4*125=500
5)x*23-23y=23(x-y)=23*4=92
6)56p-r*56=56(p-r)=56*11=616
Пошаговое объяснение:
Приложения:

Вас заинтересует
2 года назад
2 года назад
3 года назад
9 лет назад
9 лет назад
9 лет назад
9 лет назад