Ответы
Ответ дал:
0
....................
Приложения:

Ответ дал:
0
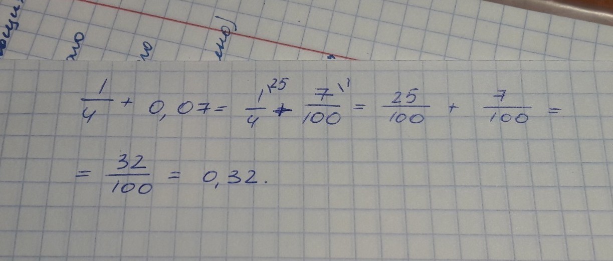
Для начала переведем 14 в десятичную дробь ( а вообще это нужно знать на изусть 14 = 0.25)
0.25 + 0.07 = 0.32
(десятичную часть под десятичной, сотую под сотой)
а что бы доказать что 14 это 0.25 нужно перевести
до скольки нужно домножить 4, что бы получить 100 - это 25
получаем 0.25
Приложения:

Вас заинтересует
2 года назад
2 года назад
3 года назад
3 года назад
8 лет назад
8 лет назад