Ответы
Ответ дал:
0
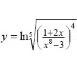
не знаю правильно или нет но получилось так
Приложения:

Вас заинтересует
2 года назад
3 года назад
3 года назад
9 лет назад
9 лет назад