• Предмет: Алгебра
  • Автор: pmd
  • Вопрос задан 8 лет назад

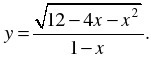
Найдите область определения функции

Приложения:

Ответы

Ответ дал: aruka4810
0
облость определения (-6;1] u [1;2)
Ответ дал: 7x8
0
x≠1
Вас заинтересует