• Предмет: Алгебра
  • Автор: akhmedovaaiya
  • Вопрос задан 8 лет назад

Помогите, решить показательные уравнение!

Приложения:

Ответы

Ответ дал: Universalka
0

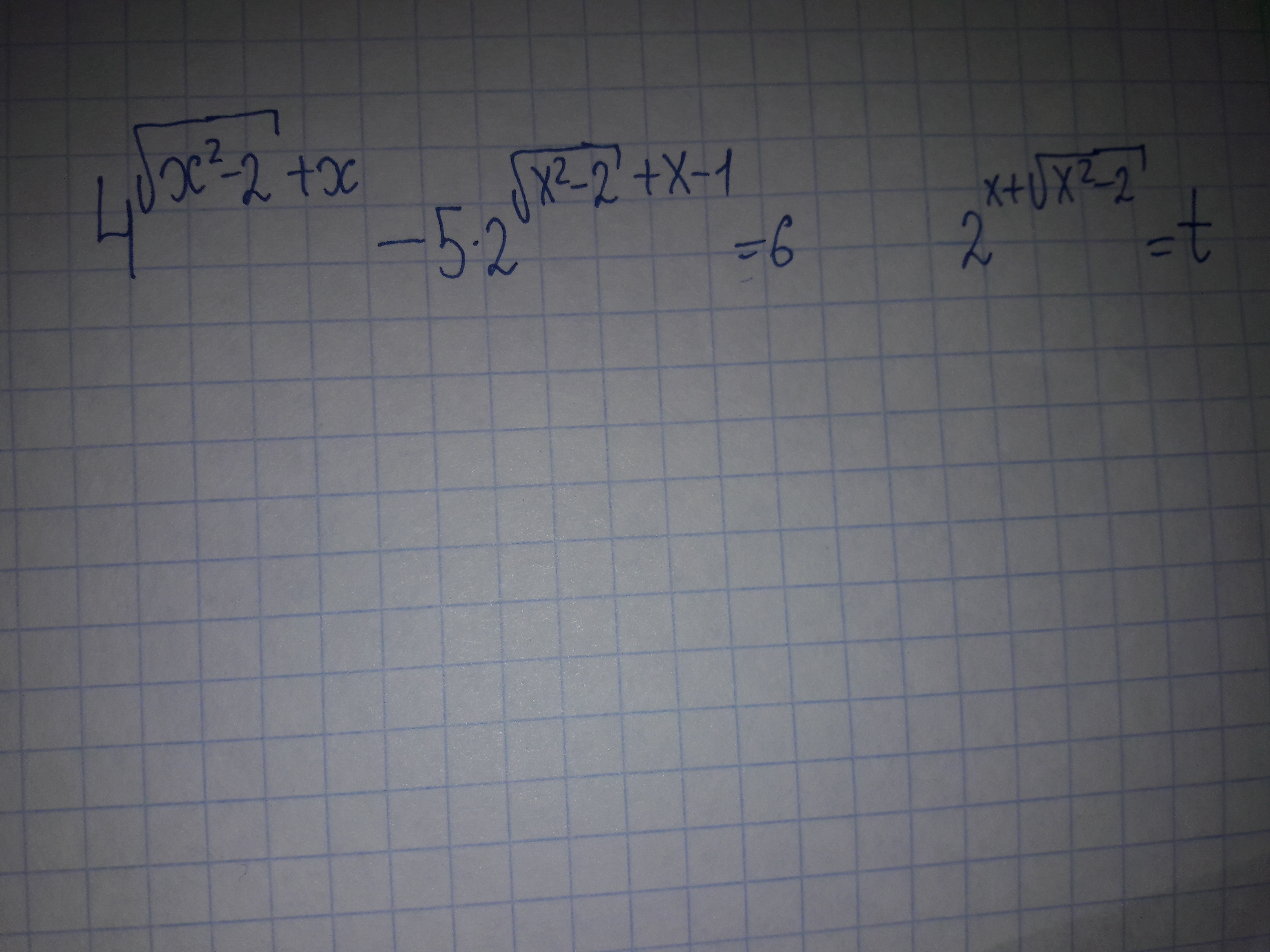
ОДЗ :

x² - 2 ≥ 0

x ∈ (- ∞ ; - √2] ∪ [√2 ; + ∞)

4^{sqrt{x^{2}-2} +x}-5*2^{sqrt{x^{2}-2 }+x-1 }=6\\4^{sqrt{x^{2}-2 }+x } -frac{5}{2}*2^{sqrt{x^{2}-2 }+x }-6=0\\2*4^{sqrt{x^{2}-2 }+x }-5*2^{sqrt{x^{2}-2 }+x }-12=0\\2^{sqrt{x^{2}-2 } +x}=t,t>0\\2t^{2}-5t-12=0\\D=(-5)^{2}-4*2*(-12)=25+96=121=11^{2}\\t_{1}=frac{5+11}{4}=4\\t_{2}=frac{5-11}{4}=-frac{3}{2}<0

2^{sqrt{x^{2}-2 } +x}=4\\2^{sqrt{x^{2} -2}+x }=2^{2}\\sqrt{x^{2}-2 }+x=2\\sqrt{x^{2}-2 }=2-x\\(sqrt{x^{2}-2 } )^{2}=(2-x)^{2} \\x^{2} -2=4-4x+x^{2}\\4x=6\\x=1,5

Ответ : 1,5


Вас заинтересует