Ответы
Ответ дал:
0
Решение задания приложено
Приложения:

Ответ дал:
0
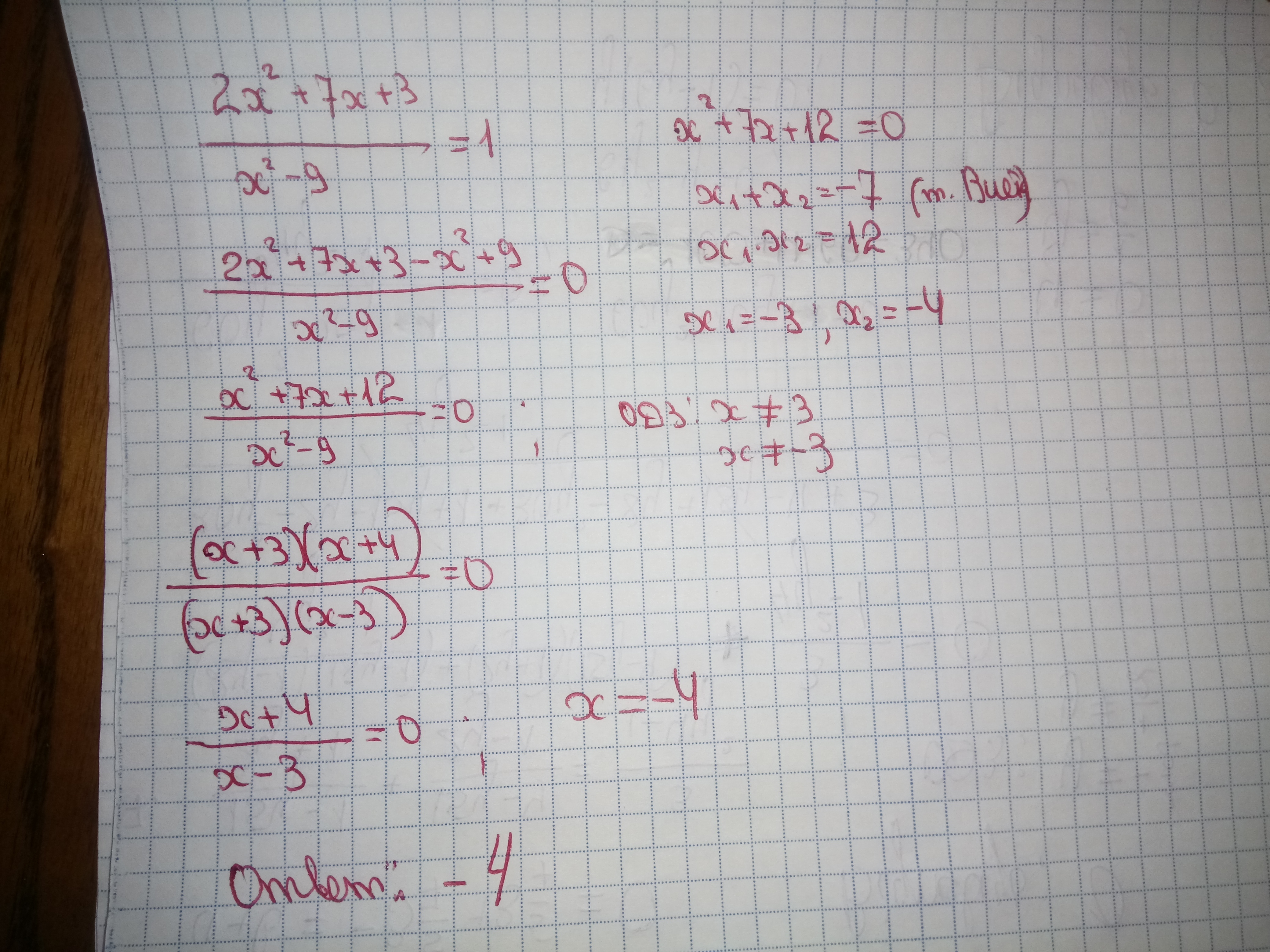
2x² + 7x + 3 = x² - 9
x² + 7x + 12 = 0
D=49 - 48 = 1
ОДЗ (x²-9) ≠ 0 -> x₁ не удовлетворяет условию.
Ответ: x = -4
Приложения:

Вас заинтересует
3 года назад
3 года назад
9 лет назад
9 лет назад