• Предмет: Алгебра
  • Автор: sasha9556
  • Вопрос задан 8 лет назад

Выполните умножение, (помогите пожалуйста)

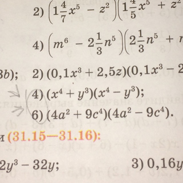
Приложения:

Ответы

Ответ дал: semend03
0
(x^4)^2-(y^3)^2
X^2-y^6
Ответ дал: kappafridom
0
Неправильное решение. Здесь применяется св-во степени и фсу(формула сокращённого умножения)
Ответ дал: sasha9556
0
Прости меня я нехочу обидеть вас ,потому что если я поставлю лучший ответ другому то вы растроитесь
Ответ дал: sasha9556
0
Спасибо за ответ
Ответ дал: sasha9556
0
Ой сори случайно вышло
Ответ дал: kappafridom
0

Фсу

a^2-b^2=(a-b)(a+b)

---------------------------

2) ((x^4)^2) - ((y^3)^2) = (x^8)-(y^6)

4) ((4a^2)^2)-((9c^4)^2) = (16a^4)-(81c^8)

Ответ дал: sasha9556
0
Прости меня я нехочу обидеть вас ,потому что если я поставлю лучший ответ другому то вы растроитесь
Ответ дал: sasha9556
0
Спасибо за ответ
Ответ дал: sasha9556
0
Ой сори случайно вышло
Вас заинтересует