• Предмет: Геометрия
  • Автор: kate3169
  • Вопрос задан 8 лет назад

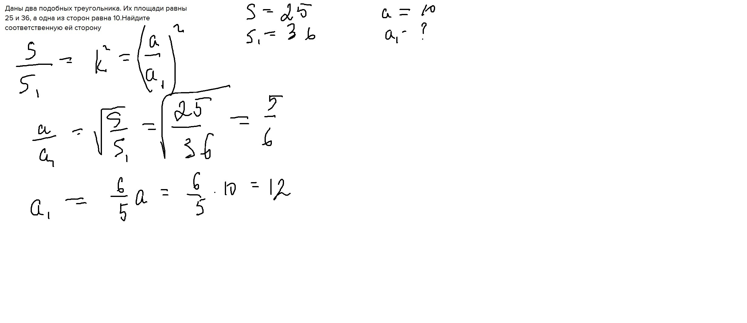
даны два подобных треугольника. Их площади равны 25 и 36, а одна из сторон равна 10.Найдите соответственную ей сторону

Ответы

Ответ дал: vikll
0

даны два подобных треугольника. Их площади равны 25 и 36, а одна из

Приложения:
Вас заинтересует