• Предмет: Физика
  • Автор: shlepkindima
  • Вопрос задан 8 лет назад

помагите зделать срочно надо
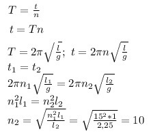
8. Длина первого маятника 1 м, второго 2,25 м. За некоторое время первый маятник совершил 15 колебаний. Сколько колебаний за тот же промежуток времени совершил второй маятник?
9. Амплитуда малых свободных колебаний пружинного маятника 9 см, масса груза 100 г, жёсткость пружины 40 Н/м. Определите максимальную скорость колеблющегося груза.

Ответы

Ответ дал: o2784913
0

9. A=0,09 м    

m=0,1 кг      

k=40 Н/м    

V- ?

k*A^2/2=m*V^2/2

V=A*√k/m

V=0,09*√40/0,1=1,8 (м/с)

Приложения:
Вас заинтересует