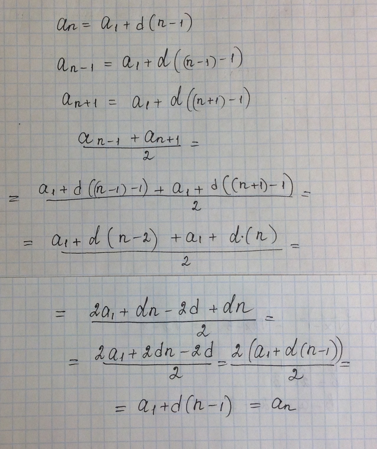
докажи, что это среднее арифметическое (вот эта фотография), если (An) - арифметическая прогрессия
Приложения:

Ответы
Ответ дал:
0
Ответ:
Пошаговое объяснение:
Ответ на фото/////////////////////////
Приложения:

Ответ дал:
0
Помогите пожалуйста прошу Вас, https://znanija.com/task/31250300 35 баллов
Ответ дал:
0
огромное спасибо, очень помогли :>
Ответ дал:
0
:3
Вас заинтересует
2 года назад
3 года назад
3 года назад
8 лет назад
8 лет назад
9 лет назад