Ответы
Ответ дал:
0
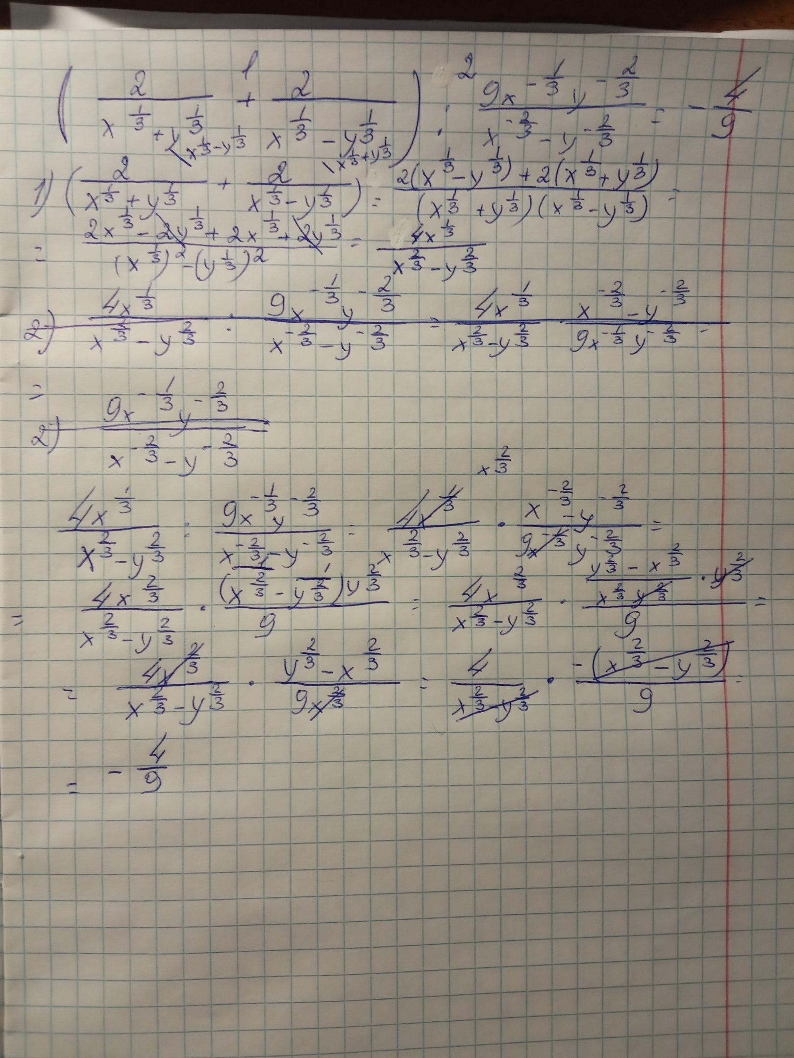
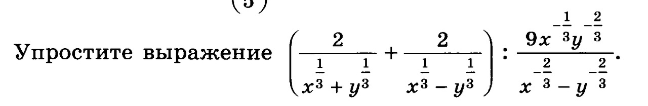
Много мазни,но думаю будет понятно.
Приложения:

Вас заинтересует
2 года назад
2 года назад
3 года назад
3 года назад
9 лет назад
9 лет назад
9 лет назад