Ответы
Ответ дал:
0
Ответ:
лист 1
в1 6
в2 1
лист 2
в1 3
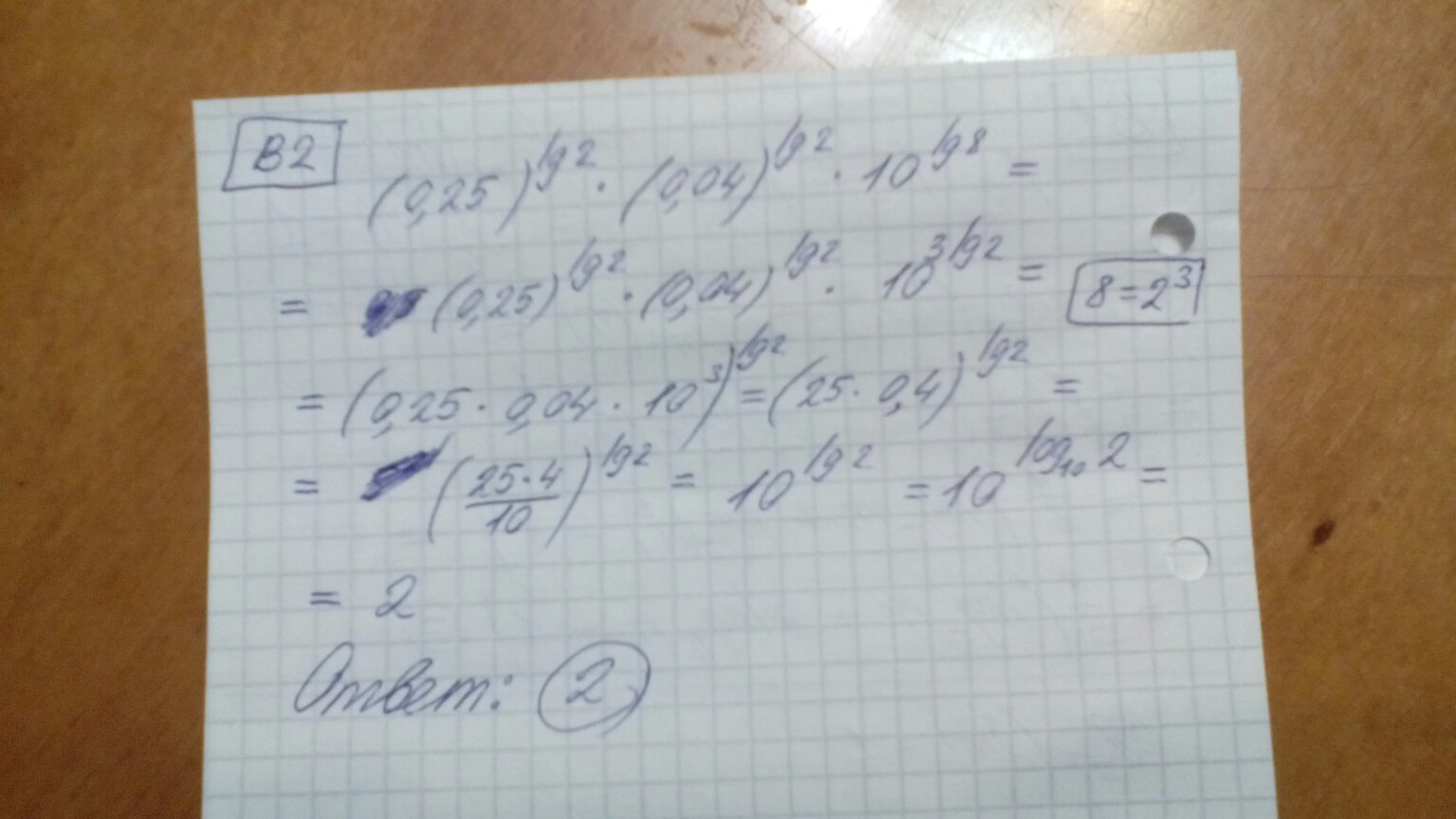
в2 2
Приложения:




Ответ дал:
0
Бесценная работа, эх, жаль ты не появилась раньше, но все равно, спасибо :)
Ответ дал:
0
ээх(
Вас заинтересует
2 года назад
3 года назад
3 года назад
8 лет назад
8 лет назад
9 лет назад
9 лет назад