Ответы
Ответ дал:
0
Будет 1))))))))))))
Ответ дал:
0
Где 1
Ответ дал:
0
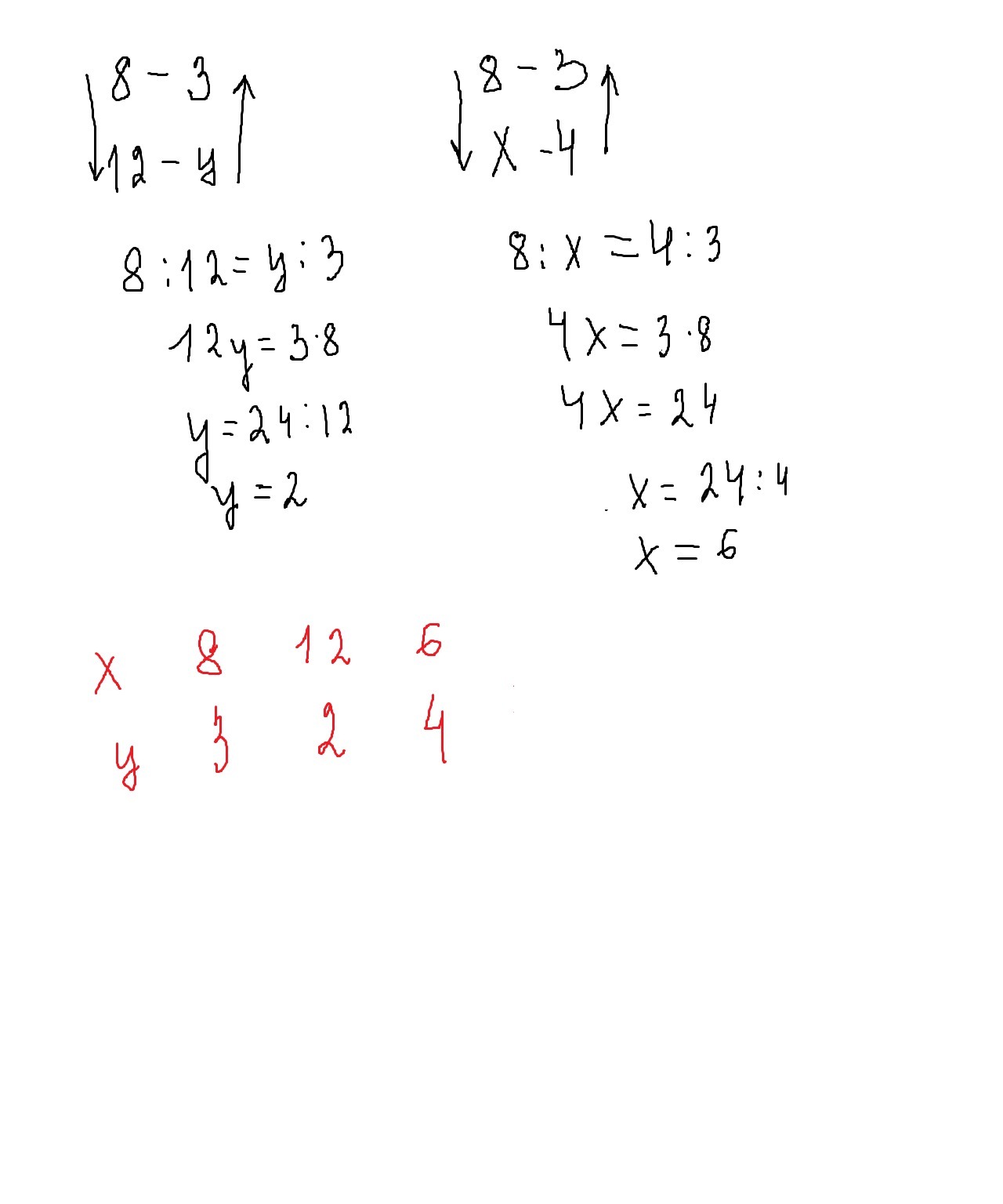
Ответ:
Две величины называют прямо пропорциональными, если при увеличении (уменьшении) одной из них в несколько раз, другая увеличивается (уменьшается) во столько же раз.
решение смотри внизу
Приложения:

Вас заинтересует
2 года назад
2 года назад
3 года назад
8 лет назад
9 лет назад