Ответы
Ответ дал:
0
Ответ:
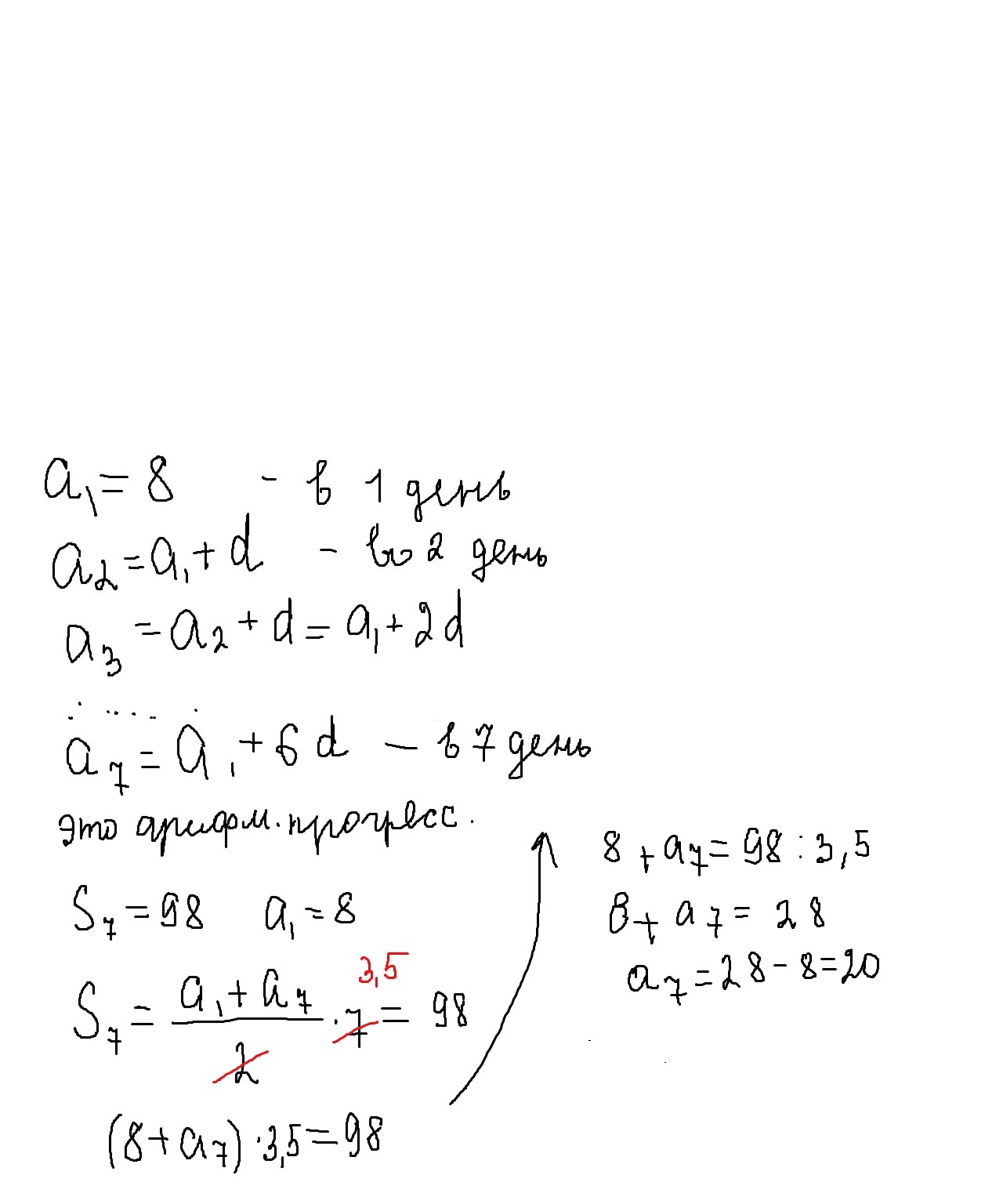
т.к Вася решал больше задач на одно и тоже количество каждый день,то получаем арифметическую прогрессию,А1=8 и суммма восьми первых членов равна 98.Решаем и получаем,что в последний 7 день он решил 20 задач.
Приложения:

Вас заинтересует
2 года назад
2 года назад
3 года назад
8 лет назад
8 лет назад
9 лет назад