• Предмет: Математика
  • Автор: Xrom1356
  • Вопрос задан 8 лет назад

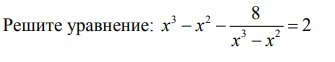
Решите уравнение:
x^{3} - x^{2} - frac{8}{x^{3} - x^{2}} = 2

Приложения:

Ответы

Ответ дал: Bena2019
0

Ответ:


Пошаговое объяснение:


Приложения:
Вас заинтересует